ДЁБНЕРА-МИЛЛЕРА РЕАКЦИЯ
, получение замещенных хинолина циклоконденсацией ароматич. аминов, у к-рых свободно орто-положение, с альдегидами или кетонами. 2,3-Дизамещенные хинолина получают с хорошим выходом по схеме:
 
Первая стадия - кротоновая конденсация, к-рую осуществляют в присут. ZnCl2, а также соляной к-ты или H2SO4. Дегидрирование промежут. соед. I происходит под действием азометинов, образующихся при взаимод. исходного амина с альдегидом. Существуют и др. взгляды на механизм р-ции. Использование двух разл. альдегидов также приводит к 2,3-дизамещенным хинолина.
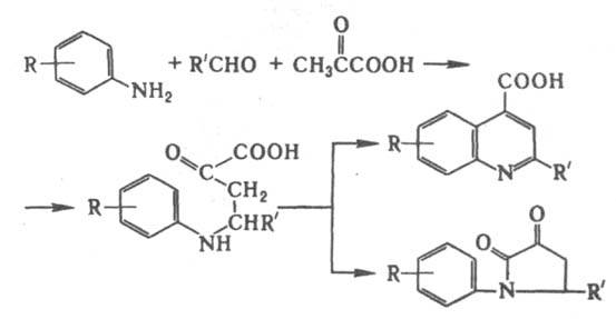
Для получения 2,4-дизамещенных хинолина в р-ции используют пировиноградную к-ту:
 
Из ароматич. альдегидов (R-арил) образуются гл. обр. производные хинолина, из алифатических (R- алкил) - пирролидоны, Р-ция открыта О. Дёбнером [Дебнером] и В. Миллером в 1881.
Модификация Бейера - получение 2,4-дизамещенных хинолинов взаимод. смеси альдегида и метилкетона с ароматич. амином:
 
Предложена К. Бейером в 1886.
Лит.: Гетероциклические соединения, пер. с англ., т. 4, М., 1955, с. 13-14, 20-23; Общая органическая химия,
 
пер. с англ., т. 8, М., 1985, с. 201-203.
Г. В. Гришина.
 
|