Электронные Толковые Словари
Реклама

Химическая энциклопедия
"ДИБЕНЗОФУРАН"

/ Главная / Химическая энциклопедия / буква Д / ДИБЕНЗОФУРАН
Химическая энциклопедия

ДИБЕНЗОФУРАН (дифениленоксид), мол. м. 168,2; бесцв. кристаллы; т. пл. 86-87 °С (пикрата - 84 °С), т. кип. 287 °С, 154-154,5 °С/20 мм рт. ст.; nD99 1,6079; раств. в этаноле, диэтиловом эфире, бензоле, умеренно - в горячей воде; перегоняется с водяным паром; m 10.10-30 Кл.м (при т. пл.).
041_060-44.jpg
Д. термически устойчив. При действии щелочей гетероцикл легко раскрывается с образованием производных дифенила: при нагр. с Na образуется 2-гидроксидифенил, с КОН - 2,2-дигидроксидифенил (присутствие нитрогруппы облегчает расщепление гетероцикла). Расширение фуранового цикла с образованием 3,4-бензокумарина происходит при взаимод. Д. с Li и СО2:
041_060-45.jpg
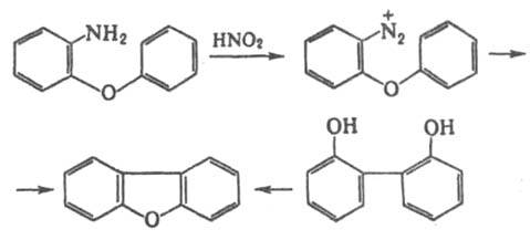
Д. обладает ароматич. св-вами. Электроф. замещение (сульфирование, галогенирование, алкилирование и ацилирование по Фриделю - Крафтсу, формилирование по Гаттерману, хлорметилирование) идет в положение 2; исключение - нитрование и металлирование, при к-рых замещение идет соотв. в положения 3 и 4. Атом Li м. б. введен в любое положение обменом галогена на металл. Электронодонорная группа направляет замещение в кольцо, в к-ром она находится, электроноакцепторная - в др. кольцо. Аминогруппа в Д. легко замещается на атом галогена действием HNO2, HHal и CuHal (по Зандмейеру). Na в жидком 041_060-46.jpg восстанавливает Д. до 1,4-дигидродибензофурана. Над Pt Д. гидрируется до тетрагидропроизводных, а над никелем Ренея - до гексагидро- и додекагидропроизводных. Д. синтезируют пиролизом фенола, дифенилового эфира или о-фенилфенола над оксидами металлов. Его получают также из o-аминодифенилового эфира и 2,2-дигидроксидифенила:
041_060-47.jpg
Производные Д. обычно получают введением заместителей в легко доступный Д. Фрагмент Д. входит в молекулу морфина. Производные Д. обладают анестезирующей, бактерицидной и противовирусной активностью. Лит.: Парам У., в кн.: Гетероциклические соединения, под ред. Р. Эльдерфильда, пер. с англ., т. 2, М., 1954, с. 96-111; Общая органическая химия, пер. с англ.. т. 9, М., 1985. с. 167-70. В.И. Шведов.





2006-2013. Электронные Толковые Cловари. oasis[dog]plib.ru