Электронные Толковые Словари
Реклама

Химическая энциклопедия
"ЭРГОАЛКАЛОИДЫ"

/ Главная / Химическая энциклопедия / буква Э / ЭРГОАЛКАЛОИДЫ
Химическая энциклопедия

ЭРГОАЛКАЛОИДЫ , индольные алкалоиды, выделенные из "ergot" - высушенной зрелой формы (склероции) гриба спорыньи (Claviceps purpurea) семейства Hypocreaceae. Спорынья паразитирует на ржи, др. злаках и ряде дикорастущих трав. Э. обнаружены также в грибах родов Aspergillus, Penicillium и др., а также в растениях семейства вьюнковых (Соn volvulaceae). Из разных источников получают разл. типы Э.
Э. включают более 60 представителей. Большинство из них - производные эрголина (ф-ла I). Различают две осн. группы Э. К первой относятся амиды лизергиновой к-ты (II; R = СООН), выделенные из грибов, паразитирующих на злаках. Эта группа включает растворимые в воде алкалоиды, в частности эргоновин [эргометрин; ф-ла II; R = C(O)NHCH(CH3)CH2OH], и т. наз. пептидные Э., нерастворимые в воде. Примеры последних - эрготамин (III; R = Н, R = СН2С6Н5), эргокристин (III; R = СН3, R = СН2С6Н5), эргокорнин [III; R = CH3, R= CH(CH3)2], эргокриптин [III; R = CH3, R = СН2СН(СН3)2].
При выделении Э. первой группы из свежеприготовленного сырья в мягких условиях получают фармакологически высокоактивные производные лизергиновой к-ты, к-рые, как правило, левовращающие. Использование лежалого сырья или жестких условий выделения приводит к диастереомерам (по атому С-8), к-рые являются правовращающими и фармакологически малоактивны. Называют их, используя окончание "инин", напр. малоактивный изомер эргокристина - эргокристинин. В щелочной среде наблюдается взаимопревращение диастереомеров.
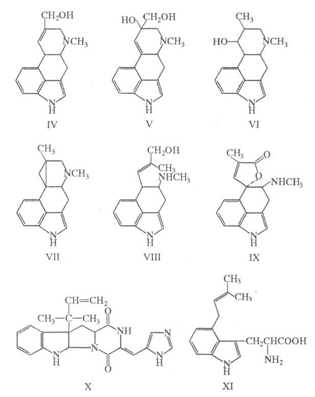
Вторая группа включает Э. клавинового типа, к-рые специфичны для грибов, паразитирующих на дикорастущих травах, реже - на ржи, а также высш. растениях. Клавиновые Э.- производные лизергола (II; R = СН2ОН) или лизергина (II; R = CH3). К ним относятся, в частности, элимоклавин (IV), пенниклавин (V), изофумигаклавин-А (VI), циклоклавин (VII), ханоклавин-I (VIII).

6042-16.jpg

Нек-рые грибы продуцируют Э. необычного строения, к-рые не относятся ни к одной из названных групп. Так, из Penicillium concavo-rugulosum выделен (наряду с VIII) ругуловазин-А (IX), а из Penicillium rogueforti - рокефортин (X) в смеси с VI.

6042-17.jpg

Строение Э. устанавливали по продуктам гидролиза и окисления, а также в результате их исследований методами спектрального и рентгеноструктурного анализа. Многие Э. синтезированы.
Биогенетич. предшественник Э.- триптофан. Из культуры Claviceps fusiformis выделено N-метильное производное образующегося в ходе биосинтеза 4-(3-метил-2-бутенил) триптофана (XI). Дальнейшие превращения последнего приводят к клавиновым алкалоидам и лизергиновой к-те, к-рая взаимод. с пептидами, одновременно образующимися из соответствующих аминокислот.
В пром-сти Э. получают из склероции спорыньи (содержащей до 0,3% алкалоидов) или синтетически. Для определения Э. используют р-ции, приводящие к образованию окрашенных соед., напр. с n-диметиламинобензальдегидом в сернокислом р-ре Э. дают характерное голубое окрашивание.
Массовые заболевания (эпилептич. конвульсии, гангрена конечностей), вызванные употреблением в пищу зараженного спорыньей зерна, были известны еще в средние века. Спектр фармакологич. действия Э. и их производных чрезвычайно широк. Среди них встречаются антагонисты адреналина, серотонина, ингибиторы пролактина. В медицине Э. применяются как маточные и успокаивающие средства, а также как средства против тахикардии, мигрени, аллергии, гипертонии. Эргоновин (в виде соли малеиновой к-ты) останавливает послеродовые кровотечения. Эрготоксин - смесь эргокристина, эргокорнина и эргокриптина - обладает сильным симпатолитич. действием. Дигидроэрготоксин - смесь соответствующих 9,10-дигидропроизводных - применяется при лечении сосудистых заболеваний. Лизергиновой кислоты диэтиламид - один из самых сильных галлюциногенов.

Лит.: Stо11 А., Ноfmann А., в кн.: The Alkaloids, ed. by R. H. F. Manske, v. 8.N.Y., 1965, p. 725-83; Stadler P. A., Stutz P., в кн.: The Alkaloids, ed. by R. H. F. Manske, v. 15, N. Y., 1975, p. 1-40).

A A. Ибрагимов.





2006-2013. Электронные Толковые Cловари. oasis[dog]plib.ru