ФТОРКАУЧУКИ
(фторорг.
каучуки, фторэластомеры), син-тетич. каучуки, получаемые сополимеризацией фторсодержа-щих
мономеров. Отличит. особенность Ф.- сочетание высокой теплостойкости с хим.
стойкостью к разл. агрессивным средам в широком интервале т-р; характеризуются
также хорошими физ.-мех. св-вами, в т. ч. сопротивлением истиранию, газонепроницаемостью,
невоспламеняемостью, удовлетворит, диэлектрич. св-вами, умеренной радиационной
стойкостью. Раств. в гексафторбензоле, кетонах, сложных эфирах, не раств. в
углеводородах, спиртах, не набухают в воде.
Различают карбо- и гетероцепные
Ф. Наиб. пром. применение получили карбоцепныеФ. на основе винилиден-фторида
(ВФ) - гл. обр. сополимеры с трифторхлорэтиленом (ТФХЭ), гексафторпропиленом
(ГФП) и перфгорметилвини-ловым эфиром (ПФМВЭ), а также тройные сополимеры (терполимеры)
ВФ, ГФП и тетрафторэтилена (ТФЭ) (табл.).
НЕКОТОРЫЕ ПРОМЫШЛЕННЫЕ
КАРБОЦЕПНЫЕ ФТОРКАУЧУКИ
|
|
|
|
|
|
|
|
|
|
|
|
|
|
|
|
|
Т-ра длит. эксплуатации
(кратковременной эксплуатации), 0C
|
|
|
|
|
Сополимеры ВФ и
ТФХЭ (СКФ-32, кель F)*
|
|
|
|
|
|
|
|
|
|
Сополимеры ВФ и
ГФП (СКФ-26, СКФ-26 HM, СКФ-26 OHM, вайтон А, флуорел FC, текнофлон
NH, дей-L)
|
|
|
|
|
|
|
|
|
|
Терполимеры ВФ,
ГФП и ТФЭ (вайтон В, флуорел FT, текнофлоны TN, TN 50)
|
|
|
|
|
|
|
|
|
|
Сополимеры ВФ и
ПФМВЭ (СКФ-260, вайтон GLT)
|
|
|
|
|
|
|
|
|
|
Сополимеры ТФЭ
и ФМВЭ (СКФ-460, калрез)**
|
|
|
|
|
|
|
|
|
|
Сополимеры ТФЭ
и пропилена (афласы 100, 50 и 200)***
|
|
|
|
|
|
|
|
|
|
|
|
|
|
|
|
|
|
* Повышенная стойкость
к сильным к-там. ** По теплостойкости и хим. стойкости близки к тефлону. ***
Повышенная стойкость к окислит. агрессивным средам.
Карбоцепные Ф.- аморфные
полимеры с линейным и (или) глобулярным расположением слаборазветвленных макромолекул;
мол. м. (1-5)·105. В нек-рых типах Ф. содержится значит. кол-во (до
80% по массе) глобулярного микрогеля с размером глобул 40-150 нм. Св-ва Ф. во
многом зависят от их мол. структуры (тип каучука, соотношение мономеров, MMP).
При нагр. выше 200 0C, а также при взаимод. с щелочами, аминами и
т. п. Ф. отщепляют галогеноводороды (HF, HCl); при этом в молекуле образуются
изолированные или сопряженные двойные связи, участвующие в вулканизации.
Получают Ф. эмульсионной
сополимеризацией фторолефи-нов в присут. инициаторов (обычно персульфата аммония),
эмульгаторы - соли щелочных металлов перфгоркарбоновых и перфторалкилсульфокислот,
регуляторы сополимериза-ции - спирты, углеводороды, бром- и иодперфторалканы.
Резиновые смеси на основе
Ф. изготовляют и перерабатывают на обычном оборудовании. Вследствие повышенной
жесткости нек-рых Ф. и резиновых смесей, а также их сильного разогрева при обработке
загрузка вальцов должна быть меньше обычной, а охлаждение более интенсивным.
Экструзию и шприцевание обычно осуществляют на двухчер-вячных машинах. Типичная
рецептура резиновых смесей включает (мас. ч. на 100 г Ф.): вулканизующие агенты
(1-6), акцепторы галогеноводородов (3-15), наполнители (10-30), технол. (воски)
и др. добавки (до 15). Осн. вулканизующие агенты: диамины и их производные,
дифенолы (в сочетании с четвертичными аммониевыми и фосфониевыми солями), пероксиды,
хелаты типа салицилальдимина меди, используют также g-излучение; осн. наполнители:
техн. углерод, графит, тонкодисперсный SiO2, мел, BaSO4;
акцепторы HHal - оксиды
и гидроксиды металлов. Вулканизацию проводят в 2 стадии: формование в прессе
(150-200 0C, 5-6 мин) или автоклаве с острым паром (120-155 0C,
от 20 мин до 4 ч); довулканизация в термостате (200-250 0C, 24 ч).
В зависимости от типа вулканизующей
системы и наполнения вулканизаты имеют sраст 10-30 МПа, относит,
удлинение 100-300%, твердость по Шору А 40-90, сопротивление раздиру 25-70 кН/м,
т-ру хрупкости от -25 до 50 0C; остаточная деформация при сжатии
(150-200 0C, 72 ч) - до 70%.
Осн. направления модификации
Ф.- повышение вулкани-зационной активности, улучшение технол. св-в, синтез морозостойких
каучуков. Для повышения вулканизационной активности в состав Ф. вводят мономеры
с функцион. группами (бром- или иодолефины). Для улучшения технол. св-в применяют
смеси Ф. с этиленпропиленовым, фторсилоксано-вым и др. каучуками. Получены также
гомополимеры фторак-
рилатных каучуков с длинными
боковыми кислородсодержащими цепями (т. стекл. -55 0C): исходный
мономер CH2= СНСООСН2(СF2)2OСF3.
ГетероцепныеФ., содержащие
в цепи макромолекулы гетероатомы (P, О, N), по нек-рым эксплуатац. св-вам во
многом превосходят карбоцепные. Однако вследствие сложности синтеза они не получили
широкого пром. применения. Наиб. изучены перфторполиэфирные каучуки на основе
дикарбоновых к-т типа НООССбН4(СF2)2СбH4СООН,
нитро-зоперфторкаучуки
фторсилоксано-вые каучуки (см. Кремнийорганические каучуки
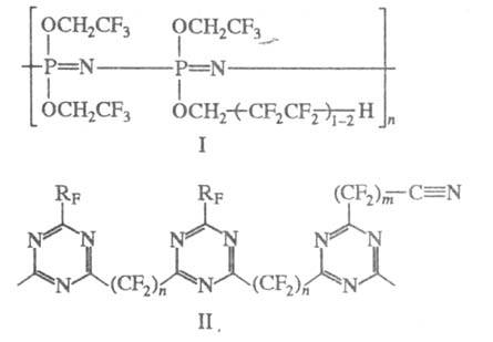
), фторалко-ксифосфазеновые
каучуки ф-лы I и перфторалкилентриази-новые каучуки ф-лы II (RF -
перфторуглеродный радикал)

Резины на основе этих Ф.
морозостойки и негорючи (каучуки ф-лы I), способны длительно работать при высоких
т-рах (II), стойки к действию углеводородных сред.
F. используют в произ-ве
уплотнителей, рукавов шлангов, мембран, резинотканевых материалов, гуммировочных
покрытий и др. изделий, работающих при высоких т-рах и в контакте с агрессивными
средами.
Объем мирового произ-ва
ок. 8 тыс. т в год (1989).
Лит.: Серушкин И.
Л. [и др.], "Ж. Всес. хим. об-ва им. Д.И. Менделеева", 1980, т.
25, № 5, с. 552-72; Синтетический каучук, 2 изд., Л., 1983; Новицкая С.П., Нудельман
З.Н., Донцов А.А., Фторэластомеры, M., 1988. С.П. Новицкая.