ФУНГИЦИДЫ
(от лат.
fungi - грибы и caedo - убиваю), в-ва, уничтожающие вредоносные грибы. Главная
область применения Ф.- защита с.-х. культур от болезней. Используют Ф. в соответствующей
форме (см. Пестицидные препараты
)путем опрыскивания или опыления растений,
обработки почвы либо как протравители семян
; применяют также в
технике как антисептические средства
для защиты неметаллич. материалов
от биоразрушения и в медицине как противогрибковые средства
. Каждый Ф.
обладает определенным спектром действия против разных видов грибов (а иногда
также бактерий) и не является универсальным.
Ф., используемые в растениеводстве,
подразделяют на защитные (или контактные) и системные. Первые применяют в целях
профилактики, они действуют лишь на пов-сти растений или семян, убивая споры
фитопатогенных грибов либо предотвращая их развитие. Системные Ф. проникают
внутрь растения, способны передвигаться по его сосудистой системе, что позволяет
не только предотвращать болезни, но и искоренять инфекцию, глубоко проникшую
в растительную ткань. Однако применение системных Ф. часто приводит к появлению
резистентности (устойчивости), для преодоления к-рой чередуют препараты с разл.
механизмом действия либо используют смеси препаратов.
Из неорг. Ф. издавна применяют
серу и ее сое д. В тонкодисперсном виде, иногда с добавками ПАВ, серу используют
для борьбы с мучнистой росой и др. грибами на многих с.-х. культурах. Применяют
также полисульфиды кальция (т. наз. известково-серный отвар; ИСО) и бария, из
к-рых сера вьделяется
постепенно при окислении на воздухе. В качестве Ф. для фумигации теплиц и складских
помещений используют SO2 (80-160 г/м3).
Фунгицидной активностью
обладают соли металлов, гл. обр. Ag, Hg, Cu, Cd. Однако на практике применяют
лишь соли меди. Легкорастворимые соли Cu2+ из-за токсичности для
растений используют ограниченно; чаще используют малорастворимые соли и препараты,
напр. бордоскую жидкость [готовят смешением CuSO4, Ca(OH)2
и воды непосредственно перед применением], гемиоксид меди Cu2O, ее
хлороксид [3Cu(OH)2·CuCl2·xH2O, где
x =0-3], 8-гидроксихинолят и нафтенат меди и др. Бордоскую жидкость и
хлороксид меди используют для борьбы с болезнями овощных, плодовых и техн. культур;
нафтенат меди - также для защиты неметаллич. материалов, гемиоксид - как основу
необрастающих красок. Высокоактивны соли Hg, но из-за токсичности широкого применения
они не нашли.
Фунгицидная и фунгистатич.
активность (фунгистатики задерживают рост грибов, но не уничтожают их) обнаружена
у фитоалексинов, образующихся в растениях в качестве защитной р-ции, в ответ
на заражение их фитопатогенными грибами (см. Фитогормоны
). Практич. применения
фитоалек-сины не нашли.
Для защиты риса от пирикуляриоза
используют нек-рые антибиотики: циклогексимид (несмотря на высокую токсичность),
стрептомицин, гризеофулъвин, бластицидин S (доза 10-20 г/га), полиоксин
Д и касугамицин.
Защитными св-вами обладают
соли и разл. производные дитиокарбаминовых к-т, в частности тетраме-тилтиурамдисульфид
(тирам, ТМТД) [(CH3)2NC(S)S]2, используемый
в многочисленных смесях для протравливания семян, иногда и для обработки почвы
или растений; он известен также как ускоритель вулканизации каучука. Долгое
время применялись дитиокарбаматы ф-лы [(CH3)2NC(S)S]xM
(M - металл, напр. Fe, Zn; х - степень окисления металла), но из-за канцерогенности
их использование прекращено.
Из этилен-бис-дитиокарбаматов
наиб. широко применяют цинеб [SC(S)NHCH2CH2NC(S)S]2-Zn2+
и манкоцеб - смешанную Zn, Мn-соль [подобная соль Mn (манеб) в России
запрещена из-за канцерогенности]. На картофеле и др. культурах используют полимерный
этилен-бис-дитиокарбамат Zn (по-ликарбацин) {[SC(S)NHCH2CH2NHC(S)S]4Zn3}x.
В качестве защитных Ф.
применяют нек-рые производные тиофталимидаи его тетрагидроаналога. Наиб. важные
из них - калган (ф-ла I; R = CCl3), каптафол (I; R = CCl2CHCl2)
и фолпет (II). Эти Ф. эффективны против парши яблонь и rpуш, серой гнили земляники,
фитофтороза картофеля и др. Несмотря на весьма малую острую токсичность (5000-10000
мг/кг), их применение ограничено из-за тератогенно-сти и канцерогенности.

К этой же группе близки
замещ. анилины - дихлофлу-анид (III; X = H) и толилфлуанид (III; X = CH3),
особенно активные против серой гнили плодовых растений.

Защитным действием обладают
многие хлорпроиз-водные ароматич. углеводородов. Известные Ф. пентахлорнитробензол
(квинтоцен, ПХНБ) и гексахлорбензол
по экологич. соображениям в России не применяются. За рубежом используют 2,4,5,6-тетрахлоризофталодинитрил
(хлорталонил), несмотря на высокие дозы (6-9 кг/га для рассадных растений и
до 130 кг/га при внесении в почву), а также 2,6-дихлор-4-нитроанилин (ДХНА,
дихлоран) для борьбы с грибами родов Botrytis, Sclepotinia, Monilia и др.
Высокую фунгицидную и бактерицидную
активность проявляют производные фенолов, но из-за фитотоксичности они непригодны
для защиты растений и используются гл. обр. как антисептики. В с. х-ве против
мучнистой росы на овощных культурах и винограде применяют 2,5-диметокси-1,4-дихлор-бензол
(хлоронеб) и динокап (IV), последний обладает ака-рицидным действием.
В качестве протравителя
семян нек-рое время использовался тетрахлорбензохинон (хлоранил), но более эффективным
Ф. для этой цели и для обработки растений оказался 2,3-ди-хлорнафтохинон (дихлон);
для последнего характерны св-ва альгицида. Получаемый из дихлонадитианон (V)
применяется для борьбы с болезнями плодовых деревьев.

Одна из первых групп системных
Ф. широкого спектра действия, выпускаемых в больших масштабах,- замещенные бензимидазолы
ф-лы VI.

Главные из них - беномил
(VI; R = NHCOOCH3, R = = CONHC4H9), тиабендазол
(VI; R = A, R = H), фуберида-зол (VI; R = Б, R = H), а также карбендазим (VI;
R = = NHCOOCH3, R = H). Эти Ф. используются для опрыскивания растений,
протравливания семян, иногда и для внесения в почву, а тиабендазол - также для
обработки картофеля и свеклы при хранении (6-27 кг/т). К бензимидазолам близки
по характеру действия тиофанат (VII; R = C2H5) и тиофа-нат-метил
(VII; R = CH3); последний в организме превращается в карбендазим.
Специфич. активностью против
возбудителей мучнистой росы обладают пиримидины- Ф. системного действия (корнями
поглощаются лучше, чем листьями). Среди них -диметиримол [VIII; R = N(CH3)2,
R= H], этиримол (VIII; R = NHC2H5, R= H) и бупиримат
[VIII; R = NHC2H5, R = SO2N(CHa)2].

Не менее активны, но имеют
более широкий спектр действия диарилпиримидилметанолы - триаримол (IX; Ar =
= 2,4-Cl2C6H3, Ar = Ph); фенаримол (IX; Ar
= 2-ClC6H4, Аг = 4-ClC6H4); нуаримол
(IX; Ar = 2-ClC6H4, Ar = 4-FC6H4).
Очень высокой активностью против грибов из класса бази-диомицетов (к этому классу
принадлежат возбудители ржавчины и головни зерновых), а также против почвенных
грибов Rhizoctonia solani обладают замещенные оксатиины-карбоксин (X) и оксикарбоксин
(XI), используемые в осн. как
протравители семян (уничтожают инфекцию, проникшую внутрь).

Аналогичные св-ва проявляют
др. соед., содержащие структурный фрагмент
("кротонанили-ды"), в частности фенфурам (XII; R = H), бенодил (ХП;
R = CH3) и пиракарболид (XПI).

Фунгицидной активностью
обладает ряд о-замещенных бензанилидов, напр. 2-метилбензанилид, 2-иодбензани-лид
и салициланилид (используемый преим. как антисептик).
Против мучнисторосяных
фибов рода Erysiphe весьма эффективны производные морфолина- тридеморф (XIV;
R = C13H27) и додеморф (XIV; R = цикло-C12H23),
применяемые для обработки ячменя и овса. Структурно близкий Ф. триморфамид (XV)
обладает защитным действием со слабыми системными св-вами. Близок к ним по активности
системный Ф. трифорин (XVI), используемый гл. обр. на овощных и плодовых культурах
(0,2-0,4 кг/га).

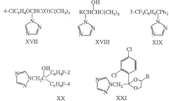
К системным Ф. относятся
производные триазола. Наиб, распространение получил триадимефон (XVII) - Ф.
широкого спектра действия, используемый против ржавчины пшеницы, мучнистой росы
огурцов, томатов, пшеницы, дыни, серой гнили винограда и др. (0,06-0,25 кг/га).
Для протравливания семян против пыльной и твердой головни, ржавчины, септориоза
и др. применяется триадименод (XVIII; R = 4-ClC6H4O) (200-300
г/г). Широким спектром фунги-цидной активности обладают: дихлобутразол (XVIII;
R = 2,4-Cl2C6H3CH2); флутримазол
(XIX); флутриафен (XX); этаконазол (XXI, R = C2H5); пропиконазол
(XXI, R = C3H7). Против ржавчины пшеницы как профилактич.
Ф. используют также 4-бутил-1,2,4(4H)-триазол (бутразол).

Близки к триазолам по характеру
действия производные имидазола; важнейшие из них - имазалил (ХХII) и про-хлораз
(XXIII).

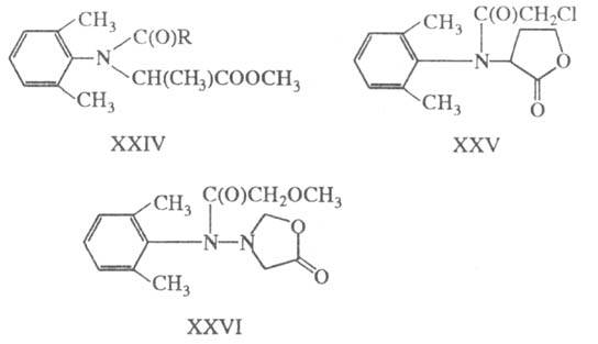
Против болезней, вызываемых
низшими грибами класса оомицетов (фитофтороз, пероноспороз), применяют производные
аланина общей ф-лы XXIV, в т.ч. металаксил (R = CH2OCH3),
фуралаксил (R = 2-фypил) и беналаксил (R = CH2C6H5),
к-рые используются для обработки картофеля, томатов, табака, хмеля, лука (0,12-0,3
кг/га). К производным аланина близки по характеру действия милфурам (XXV) и
оксадиксил (XXVI), особенно активный против пероноспо-ровых грибов.

К группе системных Ф. относят
производные 3,5-дихлоранилина, у к-рых радикал 3,5-Cl2C6H3
связан с атомом N, входящим в гетероцикл. В число таких Ф. входят ипродион (XXVII),
винклозолин (XXVIII; R=CH2=CH), дихлозолин (XXVIII; R = CH3)
и процимидон (XXIX). Эти Ф. при норме расхода 0,5-1 кг/га особенно активны против
грибов Monilia, Sclerotinia и Botrytis, поражающих очень мн. виды растений.

Фунгицидным действием обладают
нек-рые амины, амидины, гуанидины. Для обработки при хранении картофеля и цитрусовых
используют втор
-бутиламин [CH3CH(NH2)CH2CH3],
для борьбы с паршой яблони и груши - додецилгуанидинацетат (додин) C12H25NHC(=
= NH)NH3+ CH3COO-; в качестве протравителя
семян пшеницы и риса против головни, пирикуляриоза и корневых гнилей
- гуазатин (XXX) (одновременно является антифидан-том), профилактич. действием
обладает глиодин (XXXI).

Фунгициды широкого спектра
действия - металло-органические соед. Для протравливания семян, несмотря на
высокую токсичность, применяют ртутьорг. соед. ф-лы RHgX (R = алкил, арил, X
= Cl, OCOCH3 и др.), напр. C2H5HgCl, C6H5HgOCOCH3,
CH3HgNHC(= NH)NHCN (обычная доза 20-50 г/т).
Более безопасны для людей
и окружающей среды оловоорг. сое д. ф-лы R3SnX (R = алкил, арил;
Х = разл. группы). Триалкильные производные, напр. (C4H9)3SnF,
(C4H9)3SnOCOCH3, бис-(трибутилолово)оксид
[(C4H9)3SnOSn(C4H9)3],
фитотоксичны и используются преим. как антисептики и компоненты необрастающих
красок. Для защиты растений применяют гл. обр. производные три-фенилолова, особенно
(C6H5)3SnOCOCH3 (0,4-0,6 кг/га),
эффективный против фитофтороза картофеля и церкоспоро-за свеклы; обладает также
св-вами антифиданта. Аналогичное использование находят (C4H9)3SnOH
и (C6H5)3SnCl. Обнаружены соед. с фунгицидной
активностью среди орг. производных As и Pb, но практич. применения они не нашли.
В качестве системных Ф.
используют нек-рые эфиrы и амиды фосфорных и тиофосфорных к-т.Сре-ди них
китацин П C6H5CH2SP(O)[OCH(CH3)2]2
(доза 0,5-1 кг/га), О-этил-8,8-дифенилдитиофосфат (эдифенфос, хино-сан) (C6H5S)2P(O)OC2H5
и О-бутил-8-этил-8-бензилдитио-фосфат (конен) (C2H5S)(C6H5CH2S)P(O)OC4H9
- Ф. против пирикуляриоза риса; первый обладает также инсектицидным действием.
Против мучнистой росы и ржавчины растений используют пиразофос (ф-ла ХХХII),
диталимфос (ХХХIII) и вепсин (XXXIV).

Фунгицидным действием обладают
фосфонаты, напр. афос (C2H5O)2P(O)CH(CCl3)OCOCH3
(в России запрещен) и инезин C6H5P(O)(OCH3)SCH2C6H5.
Против грибов семейства
пероноспоровых эффективен трис-(этилфосфит)алюминий [C2H5OPH(O)O]3Al,
способный легко передвигаться как вниз, так и вверх по растению; активность
проявляет только внутри растения.
Помимо указанных выше,
в с. х-ве применяют: бутиобат (XXXV), эффективный против мучнистой росы на овощных
культурах; изопротиолан (XXXVI) - Ф. для обработки риса, вносимый в поливную
воду; гимексазол (XXXVII) - Ф. для борьбы с корневыми гнилями, особенно на сахарной
свекле; этридиазол (XXXVIII), активный против фитофторы; анила-зин (XXXIX),
применяемый на мн. овощных культурах (0,7-1,4 кг/га), и др.

Механизм действия большинства
Ф. известен лишь в общих чертах. Чаще всего Ф. действуют на грибы непосредственно,
вмешиваясь в биохим. р-ции, происходящие в грибных клетках, либо блокируя ферменты,
управляющие этими р-циями. Нек-рые Ф. влияют на неск. жизненно важных процессов
и поэтому нелегко выделить, какая "мишень" оказывается наиб. уязвимой.
С наиб. основанием можно считать, что Ф. из групп триазолов, морфолинов, пиримиди-нов,
имидазолов, пиперазинов ингибируют биосинтез эргосте-рина - одного из важнейших
компонентов клеточных мембран. Фосфорорг. Ф. подавляют синтез липидов, входящих
в состав этих мембран, в частности фосфатидилхолина. Гидро-ксипиримидины (этиримол
и др.) и производные аланина ингибируют, по-видимому, синтез нуклеиновых к-т,
а антибиотики (циклогексимид, бластицидин, касугамицин) - синтез белка. Антибиотик
полиоксин, действуя на соответствующие ферменты, подавляет процесс образования
хитина у грибов (и насекомых). Ф. из группы оксатиинов нарушают процесс тканевого
дыхания, производные бензимидазола и тиофанаты - нормальный ход клеточного деления.
Большинство Ф. активно
как in vivo, так и in vitro. Существуют, однако, Ф. непрямого действия, недействующие
на грибы in vitro и проявляющие активность только тогда, когда попадут в растение;
такие Ф. либо при взаимод. с растением переходят в активную форму (напр., фенил-тиосемикарбазид
превращается в фенилазотиоформамид, C6H5N = NCSNH2),
либо усиливают защитные р-ции растения. К таким Ф. относят, напр., трис-(этилфосфит)алюминий.
Мировой рынок Ф. в 1992
достиг 4,9 млрд. долларов (20,5% от всей продажи пестицидов) при нек-рой тенденции
к росту. При постоянных изменениях в мировом ассортименте Ф. ежегодно используется
ок. 200 действующих в-в.
Об ограничениях, связанных
с производством и применением Ф., см. Пестициды
.
Лит.: Голышин H.M.,
Фунгициды в сельском хозяйстве, M., 1982; Мельников H. H., Пестициды. Химия,
технология и применение, M., 1987; Мильштейн И. M., "Ж. Всес. хим. об-ва
им. Д. И. Менделеева", 1988, № 6, с. 687-97; Xаскин Б. А., там же, с.
698-707; Chemie der Pflanzenschutz und SchSdlmgsbekSmpfungsmittel, Hrsg. von
R. Wegler, В., 1970-81; Thomson W. I., Agricultural chemicals. Book IV, Fresno,
1988; Chemistry of pesticides, ed. by K. H. Buchel, N. Y.- [a. o.], 1983. Г.
С. Швиндлерман.
|