Электронные Толковые Словари
Реклама

Химическая энциклопедия
"ГЕНРИ ЗАКОН"

/ Главная / Химическая энциклопедия / буква Г / ГЕНРИ ЗАКОН
Химическая энциклопедия

ГЕНРИ ЗАКОН : растворимость газа при заданной т-ре пропорциональна его давлению над р-ром. В такой формулировке закон был установлен У. Генри в 1802. Совр. формулировка: при постоянной т-ре парциальное давление р, растворенного в-ва над его предельно разб. р-ром пропорционально мольной доле этого в-ва Ni, т.е. рi- = KiNi,где Хi-постоянная Генри для в-ва i.

Г. з.-осн. закон, определяющий термодинамич. св-ва предельно разб. р-ров неэлектролитов. Так, если для идеального разб. бинарного р-ра выполняется Г. з., то из Гиббса-Дюгема уравнения и общих законов термодинамич. равновесия следует, что парциальное давление пара р-рителя над таким р-ром при постоянной т-ре пропорционально мольной доле р-рителя (см. Рауля законы ), а понижение т-ры замерзания р-ра (если его компоненты не образуют твердых р-ров) пропорционально мольной доле растворенного в-ва и не зависит от его хим. природы. В области выполнения Г.з. или, иначе говоря, в идеальном разб. р-ре термодинамич. активности растворенных в-в пропорциональны их мольным долям (при любом способе выбора стандартных состояний). При выборе в кач-ве стандартного состояния для растворенного в-ва гипотетич. состояния при N, = 1, в к-ром в-во обладало бы св-вами, соответствующими предельно разб. р-ру в данном р-рителе, его активность становится равной мольной доле, а коэф. активности-единице. Благодаря этому при записи условий хим. равновесия в разб. р-рах неэлектролитов можно опускать коэф. активности и использовать действующих масс закон в его наиб. простой форме.

Постоянную Кi можно рассматривать как константу равновесия перехода в-ва i из р-ра в газ. Она связана с изменением энергии Гиббса при сольватации1102-2.jpg соотношением:1102-3.jpg = RTlnKi, где Т-т-ра, R-газовая постоянная. Величина Ki и давление рр пара над чистой жидкостью i связаны соотношением:1102-4.jpg, где1102-5.jpg-коэф. активности в-ва i в его предельно разб. р-ре, определенный по отношению к чистой жидкости i как стандартному состоянию этого в-ва. В идеальном р-ре1102-6.jpg=1 и Кi = рoi.

Для высоких давлений формулировка Г.з. требует уточнения. В этих случаях необходимо для определения р-римо-сти газа учитывать отклонение поведения газовой фазы от поведения идеального газа, что достигается заменой рi летучестью fi Кроме того, существенна зависимость Кi от общего давления р, определяемая соотношением:
1102-7.jpg

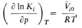
где1102-8.jpg-парциальный мольный объем растворенного в-ва в предельно разб. р-ре. Учет этих двух факторов приводит к ур-нию:
1102-9.jpg

где po1- давление пара р-рителя при данной т-ре. Если1102-10.jpg можно считать не зависящим от давления, a po1 невелико, по сравнению с р, ур-ние принимает вид (ур-ние Кричевско-го - Казарновского, 1935):
1102-11.jpg

Анализ этого ур-ния показывает, что на кривой зависимости р-римости газа от давления имеется максимум. В точке максимума парциальные мольные объемы в-ва i в обеих фазах (жидкой и паровой) равны.

Для учета отклонений от поведения идеального разб. р-ра при расчете р-римости газов в ур-ния, выражающие Г. з., в качестве множителя при мольной доле Ni вводят соответствующий коэф. активности.

Лит.: Кричевский И. Р., Фазовые равновесия в растворах при высоких давлениях, 2 изд., М.-Л., 1952; Карапетьянц М. X., Химическая термодинамика, 3 изд., М., 1975, с. 249-51, 272-80. В. А. Михайлов.





2006-2013. Электронные Толковые Cловари. oasis[dog]plib.ru