ГЕРБИЦИДЫ
(от лат. herba-трава и caedo-убиваю), в-ва, уничтожающие
нежелательные растения (Г., применяемые для уничтожения деревьев и кустарников,
наз. также арборицидами, в-ва, служащие для борьбы с водорослями,- альгицидами
).
 Главная область применения Г.-уничтожение сорняков в посевах с.-х. культур
("хим. прополка"), особенно кукурузы, сои, хлопчатника, пшеницы, риса и
сахарной свеклы. Товарные формы Г.-р-ры, концентраты эмульсий, смачивающиеся
порошки (реже гранулы), содержащие, помимо действующего в-ва, разбавители
и вспомогат. добавки (см. Пестицидные препараты
); от состава этих
 препаратов и их физ.-хим. св-в существенно зависит эффективность Г. Для
расширения спектра действия и повышения активности Г. часто используют
их смеси, выпускаемые пром-стью или приготовляемые на месте применения.
Классификация. Механизм действия. Различают Г. избирательного
и сплошного действия; первые уничтожают лишь нек-рые растения, вторые-всякую
растительность. Это деление в известной мере условно, т. к. многие Г. с
повышением их дозы (или концентрации в препарате) свою избирательность
утрачивают. Различают также Г. контактного действия, поражающие растение
в местах контакта с ним, и системные, способные передвигаться по сосудистой
системе растения от места поглощения к месту действия. По условиям применения
Г. делят на почвенные, или довсходовые (их вносят в почву или наносят на
нее до посева Либо до появления всходов), и листовые, или послевсходовые.
Почвенные Г. поглощаются семенами, корнями, проростками, листовые - надземными
частями растений в разл. периоды вегетации.
Гербицидная активность в-в обусловлена их способностью проникать в те
или иные части растения, перемещаться в нем, влиять на процессы жизнедеятельности
растения, а также подвергаться метаболизму под действием ферментов или
других в-в, содержащихся в растении и почве, с образованием менее (или
более) токсичных продуктов. Для почвенных Г. важны их адсорбция и десорбция,
перемещение в почве и вымывание из нее, разложение под действием влаги,
света и почвенной микрофлоры, способность длительно сохраняться в почве
(т. наз. персистентность).
Избирательность Г. в наиб. мере обусловлена биохим. факторами, в частности
неодинаковой способностью разл. растений разлагать Г. или связывать его
с образованием нетоксичных в-в. Однако иногда она м. б. обусловлена физ.
или морфологич. причинами, напр. тем, что на листья злаков, к-рые имеют
меньшую пов-сть и хуже смачиваются, чем листья двудольных растений, попадает
при обработке (напр., опрыскивании) меньше Г. Эффект, к-рый достигается
в результате применения Г., зависит также от видового состава обрабатываемых
растений и условий окружающей среды (т-ра, влажность, состав почвы и др.).
В соответствии с природой и механизмом действия выделяют след. основные
группы Г.
1. Ингибиторы фотосинтеза. Эти Г. проникают в хлоропласты растений;
нек-рые из них (напр., соли дипиридилия) препятствуют захвату электронов
ферредоксином и нарушают процесс восстановления кофермента никотинамидадениндинуклеотидфосфата
(НАДФ) в т. наз. фотосистеме I, другие (из групп арилмочевин, сим-триазинов,
1,2,4-триазинонов, урацилов, гидроксибензонитрилов, пиридазинонов) препятствуют
переносу электронов к пластохинону в т. наз. фотосистеме II.
2. Г., влияющие на дыхание растений, в частности разобщающие цепь окислит.
фосфорилирования и подавляющие образование АТФ (напр., соединения из групп
динитрофенолов и галогенфенолов).
3. Ингибиторы клеточного деления (митоза), напр. N-арилкарбаматы и динитроанилины;
вносят их, как правило, в почву, где Г. подавляют прорастание семян и рост
корней.
4. Г., регулирующие рост растений, или "синтетич. ауксины", аналогичные
по св-вам 3-индолилуксусной к-те (ге-тероауксину)-прир. гормону роста (при
его избытке непомерно ускоряется рост растения, что приводит к истощению
и гибели); ауксиноподобными св-вами обладают соед. из групп арилоксиалканкарбоновых
и арилкарбоновых к-т, производные пиколиновой к-ты.
Активность Г. может быть связана также с подавлением таких процессов,
как синтез нуклеиновых к-т, каротиноидов, белков, липидов, или с блокированием
биосинтеза и транспорта прир. регуляторов, катализирующих эти процессы.
Механизм действия многих Г. пока не выяснен.
Наиболее важные гербициды. Рассматриваемые ниже Г. относятся
к разным классам орг. соед. (при описании Г., кроме условного международного
названия, присваиваемого обычно пестицидным в-вам, в скобках указаны фирменные
названия торговых препаратов на их основе; показатели ЛД50 приведены
для крыс при введении перорально).
К е т о н ы. К этой группе Г. относятся метоксифенон (каяфенон, ф-ла
I) и Na-соль замещенного 1,3-циклогексендиона-аллоксидим-натрий (кусагард,
II; ЛД50 2200 мг/кг). Соединения I используют для обработки
риса, II-для обработки сахарной свеклы, сои и др. (норма расхода 0,75-1,1
кг/га). Еще более активным, чем II, является довсходовый Г. сетоксидим
(Па).

 
Нитро- и галогенфенолы. Несмотря на высокую токсичность этих соед.,
в кач-ве Г. применяют ряд производных общей ф-лы III: 4,6-динитро-о-крезол
(ДНОК, R = Н, Y = СН3 ; ЛД50 40-85 мг/кг), используемый
для послевсходовой обработки многолетних злаковых трав (1,2-4,8 кг/га);
диносеб (R = Н, Y = втор-C4H9), динотерб (R = Н,
Y = трет-С4Н9), диносеб- и динотерб-ацетаты
 (R = = СОСН3). Все эти соед.-типичные контактные Г.; к их действию
устойчивы лишь те растения, к-рые имеют плотную восковую кутикулу и плохо
смачиваются. К контактным Г. относятся и галогенфенолы: пентахлорфенол,
его Na-соль и наиб. важный из этой группы-иоксинил (IV, Х = 1; ЛД50
150 мг/кг), используемый (в т. ч. в виде октаноата) против сорняков, устойчивых
к 2,4-дихлорфеноксиуксусной к-те (см. ниже). Для обработки зерновых культур
применяют также бромоксинил (IV, X = Вr) и менее токсичный бромфеноксим
(фанерой, V; ЛД50 1217 мг/кг).
Нитродифениловые эфиры. Из Г. этой группы наиб. широко применяют соед.
общей ф-лы VI: нитро-фен (нитрохлор, R = С1, R = H; ЛД50 3630
мг/кг), бифенокс (модаун, R = Cl, R = СООСН3), хлометок-синил
(R = Cl, R = ОСН3; ЛД50 10000
мг/кг) и ацифлуорфен (блазер, R = CF3, R = СООСН3).
Нитродифениловые эфиры менее токсичны для людей и животных, чем нитро-
и галогенфенолы; используют их для до- и послевсходовой обработки риса,
сои, овощных культур и др. Действие этих Г. основано гл. обр. на подавлении
фотосинтеза и лучше всего проявляется при хорошем солнечном освещении.
10000
мг/кг) и ацифлуорфен (блазер, R = CF3, R = СООСН3).
Нитродифениловые эфиры менее токсичны для людей и животных, чем нитро-
и галогенфенолы; используют их для до- и послевсходовой обработки риса,
сои, овощных культур и др. Действие этих Г. основано гл. обр. на подавлении
фотосинтеза и лучше всего проявляется при хорошем солнечном освещении.

 
Динитроанилины. Большое экономич. значение приобрели ингибиторы митоза-Г.
из группы 2,6-динитроанилинов общей ф-лы VII; главный из них-трифлуралин
(трефлан, нитран, X = CF3, R = R = н-С3Н7,
Y = Н; ЛД50 3300 мг/кг), применяемый в больших масштабах для
обработки хлопчатника, сои, подсолнечника, капусты, томатов и др. (1-2,5
кг/га). Гербицидной активностью обладают также аналоги трифлуралина-нитралин
(X = CH3SO2), оризалин (X = NH2SO2),
изопропалин (X = изо-С3Н7). Из др. динитроанилинов
важен пендиметалин (стомп, проул, VII, X = = Y = CH3, R = 1-этилпропил,
R = H; ЛД50 1050 мг/кг), используемый в посевах хлопчатника
(1-2 кг/га).
Галогеналифатические и аралифатические кислоты. Среди галогеналифатич.
к-т наибольшее значение имеют доступные трихлоруксусная и 2,2-дихлопропионовая
к-ты. Применяют их в виде Na-солей, гл. обр. для уничтожения однодольных
сорняков. Cl3CCOONa (TXAH; ЛД50 3320 мг/кг) поглощается
корнями растений, CH3CCl2COONa (далапон)-как корнями,
так и листьями.
Оба препарата часто используют для осенней подготовки почвы (4-50 кг/га,
ТХАН-до 100 кг/га). Нек-рое применение находит также CHF2CF2COONa.
Из арилалифатич. к-т и их производных важны: хлорфен-проп-метил (бидизин)
4-С1С6Н4СН2СН(С1)СООСН3-Г.
для борьбы с овсюгом; 2,3,6-С13С6Н2СН2СООН
(фенак); беназолин (VIII; ЛД50 3000 мг/кг)-Г. ауксиноподобного
действия, применяемый обычно в смеси с 2,4-дихлорфеноксиуксусной к-той.
Арилоксиалканкарбоновые кислоты. В эту весьма важную группу входит ряд
системных Г. ауксиноподобного действия ф-л IX-XII; применяют их как до,
так и после появления всходов в форме солей или эфиров (первые лучше поглощаются
корнями, вторые-надземными частями растений). Главные Г. среди соед. общей
ф-лы IX: 2,4-дихлорфеноксиуксусная к-та, или 2,4-Д (X = Cl, Y = = Н, и
= 1), и 2М-4Х (Х = СН3, Y = H, и=1), в больших масштабах используемые
для уничтожения двудольных сорняков в посевах зерновых культур (0,2-2 кг/га).
Для этих же целей служат аналоги 2,4-Д и 2М-4Х с п = 3 (соотв. 2,4-ДМ
 и 2М-4ХМ). Эффективный гербицид 2,4,5-Т (X = = Y = Cl, n = 1) в
 СССР и ряде др. стран не разрешен, т. к. при его синтезе возможно образование
примеси ядовитого тетрахлордибензо-и-диоксина. Соед. ф-лы IX, где п-четное
 число, гербицидной активностью не обладают.
Г. из группы а-феноксипропионовых к-т: 2,4-ДП (ф-ла X, R = х = Cl, Y
= Z = Н) и 2М-4ХП (X, R = Cl, X = CH3, Y = = Z = Н), а также
весьма избирательные дихлофоп-метил (иллоксан, X, R = 2,4-С12С6Н3О,
X = Y = Н, Z = СН3) и флуазифоп-бутил (XI), уничтожающие овсюг
и др. злаковые сорняки в посевах злаковых культур (0,12-1 кг/га). Против
злаковых сорняков в посевах широколиственных культур эффективен до- и послевсходовый
Г. хинофоп-этил (XI а) при норме расхода 0,05-0,5 кг/га. Действие соед.
X, XI, XI а связано с блокированием транспорта ауксинов. Высокоактивен
также гетероциклич. арборицид трихлопир (гарлон, XII; ЛД50 713
мг/кг), уничтожающий лиственные деревья в культуре хвойных (1-2 кг/га).

 
Ароматические и гетероциклические кислоты. Среди ароматич. к-т чаще
всего активны соед. общей ф-лы XIII, содержащие в ядре атомы галогена;
из них наиб. известен послевсходовый Г. дикамба (банвел Д, X = = ОСН3,
Y = C1; ЛД50 1200 мг/кг), применяемый, как и полидим (трисбен, X = Y = Cl), для борьбы
с многолетними сорняками. Используются также производные 2,6-дихлорбензойной
к-ты-нитрил 2,6-Cl2C6H3CN (дихлобенил)
и тиоамид 2,6-Cl2C6H3CSNH2
(хлортиамид, префикс). Для обработки томатов и сои применяют амибен (XIII,
X = С1, Y = NH2), для обработки овощных культур-хлортал-диметил
(дактал, XIV).
1200 мг/кг), применяемый, как и полидим (трисбен, X = Y = Cl), для борьбы
с многолетними сорняками. Используются также производные 2,6-дихлорбензойной
к-ты-нитрил 2,6-Cl2C6H3CN (дихлобенил)
и тиоамид 2,6-Cl2C6H3CSNH2
(хлортиамид, префикс). Для обработки томатов и сои применяют амибен (XIII,
X = С1, Y = NH2), для обработки овощных культур-хлортал-диметил
(дактал, XIV).
 
Высокой гербицидной активностью обладают производные пиколиновой к-ты-лонтрел
(XV) и пиклорам (тордон, XVa; ЛД50 1500 мг/кг). Лонтрел при послевсходовом применении (50-150 г/га) уничтожает
сорняки в посевах пшеницы, ячменя и кукурузы, малоизбирательный пиклорам
служит для борьбы с глубокоукореняющимися сорняками и древесной растительностью.
1500 мг/кг). Лонтрел при послевсходовом применении (50-150 г/га) уничтожает
сорняки в посевах пшеницы, ячменя и кукурузы, малоизбирательный пиклорам
служит для борьбы с глубокоукореняющимися сорняками и древесной растительностью.
 
Производные аминокислот. Производные аланина ф-лы XVI-флампроп-изопропил
(суффикс BW, X = F, R = изо-С3Н7; ЛД50
3000 мг/кг) и бензоилпроп-этил (суффикс; X = Cl, R = С2Н5)
применяют как послевсходовые Г. для борьбы с овсюгом в посевах злаков;
активность этих соед., более высокая у ( — )-изомеров, обусловлена гидролизом
до своб. к-т, избирательность-различием в скоростях гидролиза в сорняках
и культурных растениях.
 
Амиды карбоновых кислот. наиб. распространенные Г. этой группы-анилиды
(XVII) и замещенные амиды монохлоруксусной к-ты (XVIII). Среди XVII особенно
важен пропанид (R = С2Н5; ЛД50 1300 мг/кг),
применяемый для обработки риса (3-9 кг/га), среди XVIII-пропахлор (рамрод,
R = C6H5, R= н-С3Н7; ЛД50
1300 мг/кг), используемый в посевах овощных культур и кукурузы, и аллидохлор
(рандокс, R = R = СН2СН=СН2). По механизму действия
амиды обычно отличаются от гербицидных к-т: соед. XVII-контактные послевсходовые
Г., ингибирующие фотосинтез, соед. XVIII и XIX-довсходовые Г., ингибирующие,
по-видимому, биосинтез гиббереллинов. Гербицидной активностью обладает
также ряд 2,6-диалкиланили-дов общей ф-лы XIX, особенно алахлор (лассо,
R = CH3, ЛД50 1040 мг/кг), бутахлор (мачете, R =
н-С4Н9) и актион (антор, R = СН2СООС2Н5).
Довсходовыми Г. служат дифенамид (C6H5)2CHCON(CH3)2,
напропамид (девринол, дэпра, XX) и пропизамид (XXI).
 
Карбаматы и тиокарбаматы. Известно несколько Г. из числа N-алкилкарбаматов,
однако чаще гербицидную активность проявляют N-арилкарбаматы, в т. ч. замещенные
в положениях 3 и 4 фенильного ядра. Среди этих соед. общей ф-лы XXII, помимо
применяемых в ограниченных масштабах ИФК (X = Y = Н, R = изо-С3Н7)
и хлор-ИФК (Х = С1, Y = H, R = изо-С3Н7), эффективных
гл. обр. против однодольных сорняков, известен барбан (карбин, Х = С1,
Y = H, R = CH2C=CCH2Cl)-пocлeвcxoдoвый Г. для борьбы
с овсюгом в посевах зерновых (0,4-0,6 кг/га). бис-Карбамат фенмедифам (бетанал,
XXIII; ЛД50 750 мг/кг) часто применяют для послевсходовой обработки
свеклы (1-1,5 кг/га); в посевах этой культуры иногда используют также проксимфам
С6Н5NНСООМ=С(СН3)2 и асулам
4-NH2C6H4SO2NHCOOCH3.
При послевсходовом применении N-арилкарбаматы действуют как ингибиторы
фотосинтеза, при довсходовом-как ингибиторы митоза.
 
Широкое и разнообразное применение нашли почвенные Г. из группы тиокарбаматов
общей ф-лы XXIV, особенно ЭПТК (эптам, R = R = C3H7,
X = С2Н5; ЛД5д 1660 мг/кг) и бутилат (сутан,
R = R= изо-С4Н9, X = С2Н5;
ЛД50 >4000 мг/кг); при обработке кукурузы их обычно используют
в виде препаратов эрадикан и сутан-плюс, содержащих добавку антидота (см. Антидоты для растений
). В посевах риса применяют молинат (ялан,
 R = R = (СН2)6, X = = С2Н5),
сои-вернолат (вернам, R = R = X = С3Н7), сахарной
свеклы-циклоат (ронит, R = X = C2H5, R= = циклогексил),
для борьбы со злаковыми сорняками в посевах зерновых и др. культур-триаллат
(R = R= = изо-С3Н7, X = СН2ССl=СС12
; ЛД50 1470
мг/кг; норма расхода 0,8-1,6 кг/га).
1470
мг/кг; норма расхода 0,8-1,6 кг/га).
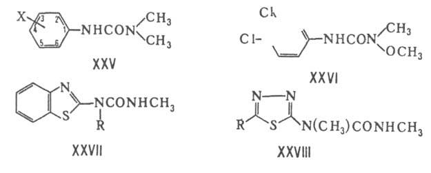
Производные мочевины. Среди соед. этой весьма важной группы Г. активность
чаще всего проявляют трехзамещенные производные ф-л XXV-XXVIII. Особенно
многочисленны соед. XXV; их избирательность и спектр действия существенно
зависят от характера заместителей в фенильном ядре (см. табл.).
 
ГЕРБИЦИДЫ-ПРОИЗВОДНЫЕ МОЧЕВИНЫ ФОРМУЛЫ XXV
 
 
* ЛД50 1515 мг/кг; ** ЛД50 3400 мг/кг.
 
Трехзамещенное производное мочевины линурон (XXVI)-один из важнейших
Г. для обработки сои, кукурузы, картофеля (1-3 кг/га). Гербицидной активностью
обладают также мн. аналоги XXV, содержащие вместо одной СН3-группы
др. алкильный радикал или вместо фенила - др. карбо- или гетероциклич.
остаток (напр., циклооктил, 5-трет-бутил-2-изоксазолил). Так, метабензтиа-зурон
(трибунил, XXVII, R = CH3)-T. для до- или послевсходовой обработки
зерновых; тиадиазолилмочевины общей ф-лы XXVIII (R = трет-С4Н9,
 CF3, C2H5SO2 и др.)-высокоактивные
 Г. сплошного действия.
 
Четырехзамещенные производные мочевины проявляют активность лишь в том
случае, когда один из заместителей легко отщепляется. Среди двузамещенных
мочевин известен ряд Г.: дихлоральмочевина [CC13CH(OH)NH]2CO-старейший
легкодоступный Г., используемый в посевах свеклы; более эффективный для
этой культуры бензтиазурон (мерпелан, XXVII, R = Н); димурон (XXIX), применяемый
в посевах риса. Хлорсульфурон (глин, XXX), содержащий триазиновую группировку,-
новый и пока самый высокоактивный из всех известных Г. Его доза при обработке
зерновых культур в полевых условиях составляет всего 5-60 г/га (обычно
10-20 г/га), т.е. он примерно в 100 раз более активен, чем 2,4-Д. Хлорсульфурон
ингибирует деление и рост клеток чувствительных к нему растений и не влияет
на фотосинтез и дыхание растений. При замене атома С1 в ф-ле XXX на СООСН3-группу
получен Г. метсульфуронметил, активный даже в дозе 4-8 г/га; при замене
триазинового цикла на пиримидиновый также получаются высокоактивные Г.
 
Пятичленные гетероциклические соединения. Среди большого числа этих
соед. (1,3-оксазолидиндионов, замещенных пиразолов, имидазолов, бензотиадиазолов
и др.), обладающих гербицидной активностью, число в-в, применяемых на практике,
сравнительно невелико. Так, оксадиазон (ронстар XXXI; ЛД50 >
8000 мг/кг) используют для обработки сои, риса (0,75-1 кг/га) и др.; метазол
(XXXII)-для довсходовой обработки хлопчатника и картофеля; этофумезат (нортрон,
XXXIII; ЛД50 > 6000 мг/кг)-в посевах свеклы. Дифензокват-метилсульфат
(авендж, XXXIV)-пocлeвcxoдoвый Г. для борьбы с овсюгом в посевах зерновых
(0,8-1,5 кг/га), проявляющий также фунгицид-ное действие.
 
 
Шестичленные гетероциклические соединения. Среди этих соед. с одним
гетероатомом (помимо упоминавшихся выше трихлопира XII, лонтрела XV и пиклорама
XVa) широко известны соли 2,2-и 4,4-дипиридилия- быстродействующие контактные
Г. Дикват-дибромид (реглон, XXXV; ЛД50 282 мг/кг) эффективен
гл. обр. против двудольных растений и нередко применяется также, как десикант;
паракват-дихлорид (грамоксон, XXXVI; ЛД50 150 мг/кг)-Г. сплошного
действия; в почве он быстро разлагается, не мешая развитию культур, высеваемых
после обработки. Поэтому паракват (а отчасти и дикват) пригоден для т.
наз. беспахотного земледелия в районах, где почва подвержена ветровой эрозии.
В СССР паракват не разрешен из-за его токсичности.
 
Важнейшие Г. среди шестичленных гетероциклов с двумя гетероатомами-производные
пиридазинов и пиримидинов. Из пиридазинов наиб. известен хлоридазон (феназон,
пирамин, XXXVII; ЛД50 > 2000 мг/кг), используемый для довсходовой
обработки свеклы. Этот Г.-ингибитор фотосинтеза; в растениях свеклы он
дезактивируется, образуя N-гликозиды. Близкий к нему по структуре норфлуразон
(зориал, XXXVIII) находит применение в хлопководстве. Кредазин (XXXIX)-Г.
для обработки томатов и земляники, пиридат (ХL)-послевсходовый контактный
Г. для обработки зерновых.
 
Из мн. производных пиримидина, обладающих гербицидной активностью, практич.
применение нашли лишь соед. из группы пиримидиндионов (урацилов), в частности
ленацил (гексилур, XLI; ЛД50 > 11 000 мг/кг)-довсходовый Г.
для обработки свеклы (0,8-1,6 кг/га), а также соед. общей ф-лы XLII: бромацил
(X = Br, R = втор-С4Н9)и тербацил (X = Cl,
 R = трет-С4Н9), используемые как Г. сплошного
 действия.
 
Из шестичленных гетероциклич. соед. с тремя гетероатомами (помимо триазинов,
рассматриваемых ниже) важен бентазон (базагран, XLIII; ЛД50
1100 мг/кг), применяемый в виде водорастворимой Na-coли для послевсходовой
обработки зерновых (1-2 кг/га).
Триазины. сим-1,3,5-Триазины-крупнейшая группа Г. по масштабам мирового
произ-ва. Гербицидкой активностью обладают соед., содержащие алкиламиногруппы
в положениях 4 и 6 и галоген, метилтио- или метокси-группы-в положении
2. Из соед. общей ф-лы XLIV, в к-рых X = Hal, наиб. важны атразин (R =
С2Н5, R = = изо-С3Н7) и симазин
(R = R = C2H5; ЛД50 1390 мг/кг), используемые
для довсходовой обработки кукурузы (1,5-4 кг/га) и др. культур, а также
цианазин [бладекс, R = = С2Н5, К = С(СН3)2СN]-до-
и послевсходовый Г. для кукурузы, бобовых и зерновых культур.
2-Метилтиопроизводные сим-триазинов (XLIV, X = = SCH3) выгодно
отличаются от других Г. этой группы более широким спектром действия, большей
избирательностью и не слишком большой персистентностью в почве. наиб. распространение
получил прометрин (R = R = изо-
С3Н7; ЛД50
 > 3000 мг/кг), применяемый в культурах хлопчатника, подсолнечника, картофеля,
моркови и др. (1,5-2,5 кг/га). В посадках капусты часто применяют десметрин
(семерон, R = CH3, R = изо-С3Н7), а также
его аналог - 2-метилтио-4-азидо-6-изопропиламино-1,3,5-триазин (азипротрин).
Важное значение в хлопководстве приобрел дипропетрин (котофор, X = SC2H5;
R = R = изо-
С3Н7). Нек-рое применение находят
 и 2-метокситриазины (X = ОСН3), избирательность к-рых меньше,
чем у др. смм-триазинов.
 
Гербицидная активность производных смм-триазинов обусловлена гл. обр.
ингибированием фотосинтеза; дезактивация этих Г. в почве и растениях связана
обычно с гидролизом до неактивных 2-гидроксипроизводных (Х-ОН). Активностью
обладают также и нек-рые тетрагидро-сим-триазины, в частности гексазинон
(велпар, XLV)-P. сплошного действия, применяемый на незасеваемых площадях
(2-13 кг/га) и в лесном хозяйстве. Известен ряд избирательных Г. и среди
производных 1,2,4-триазина общей ф-лы XLVI, важнейшие из к-рых: метрибузин
(зенкор, R = = трет-C4H9, R = SCH3; ЛД50
> 1100 мг/кг), применяемый для довсходовой обработки картофеля (1-1,5 кг/га)
и послевсходовой обработки томатов, сои, а также метамитрон (голтикс, R
= С6Н5, R = СН3)-до- и послевсходовый
Г. для свеклы (3-5 кг/га).
Органические соединения фосфора и мышьяка. Среди фосфорорг. соед. наиболее
важным является глифосат (HO)2P(O)CH2NHCH2COOH
(раундап; ЛД50 4320 мг/кг)-системный Г. сплошного действия,
быстро разлагающийся в почве и применяемый в виде изопропиламмониевой соли
для борьбы с глубокоукореняющимися и многолетними сорняками (1-1,5 кг/га)
в период вегетации; используются также бутамифос (кремарт, XLVII), R =
5-СН3, R= С2Н5, R" = втор-
С4Н9)
 и амипрофос-метил (токунол, XLVII, R = 4-CH3, R = CH3,
R" = изо-С3Н7); кренайт (XLVIII) - арборицид, эффективный
в дозе 2,5-5 кг/га; бенсулид (изо-
C3H7O)2P(S)SCH2CH2SO2C6H5
 (префар), применяемый для обработки овощных и бахчевых культур; пиперофос
(ХLIХ)-Г. для до- и послевсходовой обработки риса.

 
Наряду с глифосатом применение нашел контактный Г. сплошного действия-глуфосинат
аммония (L)-норма расхода 0,15-1,2 кг/га.
 
К мышъякорг. Г. относятся, напр., метиларсонаты натрия и аммония, Na-солъ
какодиловой к-ты. В СССР и Зап. Европе эти Г. не применяют из-за их высокой
токсичности.
Уничтожение растений с помощью хим. средств известно с 19 в., когда
при прокладке дорог и расчистке пром. площадок в кач-ве Г. сплошного действия
использовали в больших дозах дешевые неорг. соли, серную к-ту, отходы нефтяной,
коксохим. и горнорудной пром-сти. В нач. 20 в. у нек-рых в-в (напр., медного
купороса, серной к-ты и особенно 4,6-динитро-о-крезола) была отмечена избирательность
действия. Широкое и быстрое распространение Г. получили после открытия
в 1942-45 свойств 2,4-дихлорфенок-сиуксусной к-ты, не утратившей своего
значения.
Использование Г. в с. х.-ве, особенно в промышленно развитых странах,
оказало огромное влияние на агротехнику возделывания многих культур в условиях
нехватки рабочей силы.
Мировое произ-во Г. постоянно расширяется, напр. в США в 1980 оно превысило
300 тыс. т (в расчете на действующее в-во). Мировой ассортимент Г. насчитывает
св. 200 действующих в-в (без учета их смесей), ок. 100 в-в разрешено к
применению в СССР на 1982-85.
Продажа и применение Г. во всех странах допускаются лишь с разрешения
компетентных государств. органов на основании данных, подтверждающих эффективность
Г., его безопасность для людей, животных и объектов окружающей среды. При
этом регламентируются правила транспортировки, хранения и применения Г.
Допустимые остатки Г. в продуктах питания и фураже строго нормируются и
контролируются органами Госсанинспекции. Неправильное применение Г. может
загрязнить почву и водоемы, вызвать гибель растений и животных, нарушить
биол. связи в биогеоценозах.
Лит.: Мельников Н. Н., Баскаков Ю. А., Химия гербицидов и регуляторов
 роста растений, М., 1962; Мельников Н. Н., Химия и технология пестицидов,
М., 1974; его же, "Успехи химии", 1976, т. 45, в. 8, с. 1473-504; Баскаков
Ю. А., "Ж. Весе. хим. о-ва им. Д. И. Менделеева", 1978, т. 23, № 2, с.
149-59: 1984, т. 29, № 1, с. 22-39; Chemie der Pflan/enschut7- und Schadlingsbekampfungv
mittel. Hrsg. von R. Wegler, Bd 2, B.-[u.a.], 1970, S. 172-393; Bd 5, 1977,
S. 3-752; Bd 8, 1932, S. 1-445; Herbicides: chemistry, degradation and
mode of action, ed. by P.C. Kearney, D.D. Kaufman, 2 ed., v. 1-2, N.Y.,
1975-76; Pflanzenschutz und Schadlingsbekampfung. Hrsg. von K.H. Biichel,
Stuttg., 1977; Fedtke C. Biochemistry and physiology of herbicide action,
В., 1981 Н. Н. Мельников, Г. С. Швиндлерман.