|
Реклама |
|
|  |
|
|
|
|
|
ИЗОХИНОЛИНОВЫЕ АЛКАЛОИДЫ
, содержат в молекуле остатки 1,2,3,4-тетрагидроизохинолина, значительно реже - 3,4-дигидроизохинолина или изохинолина. Обнаружены в растениях 30 семейств. Наиб. богаты ими растения семейства анноновых (Annonaceae), барбарисовых (Berberidaceae), дымянковых (Fumariaceae), гернандиевых (Hernandiaceae), лавровых (Lauraceae), магнолиевых (Magnoliaceae), луносемянниковых (Menispermaceae), монимисвых (Monimiaceae), маковых (Papaveraceae), лютиковых (Ranunculaceae). И. а. включают более 1000 представителей.
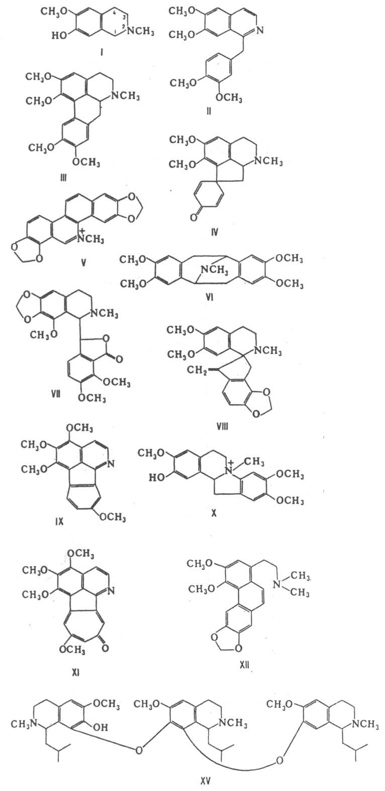
И. а. содержат от 10 до 42 атомов С. Выделяют след. основные группы алкалоидов: простые изохинолины (напр., корипаллин, ф-ла I), 1-бензилизохинолины (папаверин
, II), апорфины (глауцин, III), проапорфины (пронуциферин, IV), протоберберины (берберин
), бензофенантридины (сангвинарин, V), павины (аргемонин, VI), фталидизохинолины (наркотин, VII), спиробензилизохинолины (охотенсимин, VIII), 2-бензилтетрагидроизохинолины, 1-фенил- и 4-фенилтетрагидроизохинолины, азофлуорантены (руфесцин, IX), дибензопирроколины (криптаустолин, X), трополоизохинолины (имерубрин, XI).
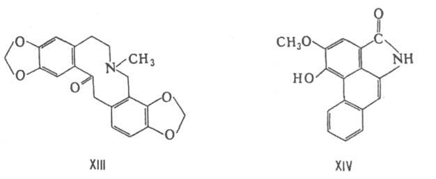
Фенантреновые основания (таликтуберин, XII), протопиновые основания (протопин, XIII) и аристолактамы (дорифлавин, XIV) не имеют изохинолиновой системы, но также относятся к И. а., с к-рыми биогенетически тесно связаны.
Среди И. а. обнаружены димерные и тримерные основания, напр., пилоцереин (XV).
Наиб. многочисл. группы апорфинов и димерных оснований. Последние включают более 250 алкалоидов, образующихся в результате окислит. димеризации бензилизохинолинов (как, напр., тетрандрин, XVI), бензилизохинолинов с апорфинами (таликарпин, XVII), проапорфинами, оксоапрофинами, а также апорфинов (бисапорфины), апорфинов с павинами (пенсилпавин, XVIII).
Многообразие димерных алкалоидов обусловлено числом эфирных мостиков и их положением в молекуле. К И. а. относятся также гликоалкалоиды, у к-рых агликон - апорфин или бензилизохинолин.
Многие И. а. синтезированы. В ряде случаев осуществлен взаимный переход между разл. типами алкалоидов. Наиб. значение имеют алкалоиды группы 1-бензилизохинолина
(XIX) - предшественники в биосинтезе большинства И. а. Соед. XIX образуется в растениях, конденсацией допамина (XX) и 3,4-дигидроксифенилпировиноградной к-ты (XXI), образующихся из тирозина.
Многие И. а. обладают противомикробной, спазмолитич., гипотензивной, желчегонной или противовоспалит. активностью. Ряд димерных оснований (напр., XVI и XVII) подавляют рост злокачеств. опухолей.
Нек-рые И. а. используют в медицине, напр. III - противокашлевый препарат, II - спазмолитик, (+)-тубокурарин - миорелаксант.
Лит.: Shamma M., The isoquinoline alkaloids, N.Y., 1972; Shammа М., Moniot J.L., Isoquinoline alkaloids research 1972-1977, N.Y., 1978. C.X. Maex.
|
|
|
|