ИНСЕКТИЦИДЫ
(от лат. insectum - насекомое и caedo -убиваю), хим. ср-ва, убивающие насекомых, их яйца (овициды) и личинки (ларвициды). Нек-рые И. активны также против клещей (инсектоакарициды) и нематод.
Главная область применения И. - защита с.-х. культур от насекомых-вредителей; их используют также для борьбы с насекомыми - переносчиками болезней и эктопаразитами животных, с бытовыми насекомыми, для защиты продовольств. запасов, тканей и др. материалов. Товарные формы И. - р-ры, концентраты эмульсий, смачивающиеся порошки, дусты, аэрозольные препараты и др., содержащие помимо действующего в-ва разбавитель, ПАВ и др. вспомогат. добавки (см. Пестицидные препараты
). От состава и формы препаратов во многом зависит эффективность И.
  Термин "И." относится как к самому действующему в-ву, так и к его торговому препарату. В мировом ассортименте используется ок. 250 действующих в-в, известных под краткими условными назв., к-рые присваиваются им Международной организацией по стандартизации (ISO). Разл. фирмы выпускают десятки тысяч торговых препаратов под своими фирменными назв., что порождает множество синонимов.
Ассортимент И. постоянно обновляется. Это связано с появлением среди насекомых рас, устойчивых (резистентных) к И., а также со стремлением к созданию И., более эффективных и безопасных для людей и окружающей среды.
В зависимости от способа проникновения в организм насекомого И. делят на контактные (всасывающиеся через наружные покровы при соприкосновении), кишечные (попадающие при заглатывании), фумиганты
 (проникающие через органы дыхания). Нек-рые И. (т. наз. системные) способны передвигаться по сосудистой системе растений, делая их токсичными для насекомых.
 Мн. И. токсичны не только для насекомых, но также для людей и теплокровных животных. Для практич. использования выбирают наиб. безопасные И., к-рые быстро разрушаются в организме теплокровных на нетоксичные или малотоксичные соед. и обладают высоким ЛД50, а в организме насекомых, напротив, разрушаются медленно или даже активируются и обладают для них высокой токсичностью, т. е. отношение ЛД50 для теплокровных к ЛД50 для насекомых должно быть как можно больше (коэф. избирательности). Нек-рые в-ва (т. наз. проинсектициды) превращ. в И. лишь в организме насекомых.
Рассматриваемые ниже И. относятся к разным группам соединений. При описании И. указывается международное условное назв. действующего в-ва, в скобках - фирменное назв. торгового препарата, величина ЛД50 для крыс при пероральном введении.
Природные соединения и их синтетические аналоги. Из И. растит. происхождения наиб. применение находят пиретрины
 - в-ва, содержащиеся в цветках ромашек рода пиретрум (хризантемум) и их более эффективные и стабильные синтетич. аналоги - пиретроиды
 (одна из важнейших групп И.).
  Нек-рое применение находят ротенон
, содержащийся в экстракте корней дерриса, алкалоиды ( — )-никотин, анабазин и рианодин, обладающие контактной и кишечной активностью.
 Эффективные И. - продукты жизнедеятельности бактерий Bacillus thuringiensis, в особенности выделяемый ими d-эндотоксин - в-во белкового происхождения, малотоксичное для людей, но весьма активное как ларвицид. Препараты, содержащие смесь d-эндотоксина и спор В. thuringiensis, получают в пром. масштабе и используют для защиты с.-х. культур.
Высокой инсектицидной, акарицидной и нематоцидной активностью обладает группа макроциклич. антибиотиков— авермектинов, продуцируемых лучистым грибом Streptomyces avermitilis, напр. соед. ф-лы I. Эти соед. эффективны в борьбе с экзо- и эндопаразитами животных; возможности их практич. применения интенсивно изучаются.
 
Из в-в животного происхождения высокой инсектицидной активностью обладает нереистоксин - яд, выделяемый морским кольчатым червем Lumbriconereis heteropoda (см. Яды животных
); сам он слишком токсичен для практич. применения, но послужил прототипом для ряда И., таких, как картап (II; ЛД50 380 мг/кг), бенсультап (III; ЛД50 1120-1150 мг/кг) и тиоциклам (IV; ЛД50 273-310 мг/кг), активных против колорадского жука и чешуекрылых.
  
 
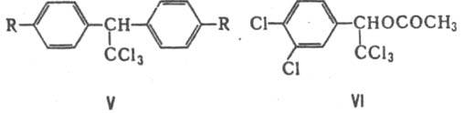
Хлорорганические И. Важнейший представитель этой группы И. - ДДТ (V, R = Сl; ЛД50 300 мг/кг), обладающий широким спектром действия против вредителей с.-х. культур, а также нашедший применение в здравоохранении для подавления очагов малярии и сыпного тифа. За открытие инсектицидных св-в ДДТ П. Мюллер в 1948 удостоен Нобелевской премии.
 
В связи со способностью к накоплению в жировых тканях человека и животных и чрезмерной устойчивостью к биоразложению в окружающей среде применение ДДТ в с. х-ве наиб. развитых стран запрещено (в СССР с 1970), хотя в нек-рых странах Азии и Африки он применяется и поныне, особенно в очагах малярии.
В растениеводстве, животноводстве и в быту применение находит аналог ДДТ - метоксихлор (V, R = СН3О; ЛД50 6400 мг/кг), не проявляющий отрицат. св-в, присущих ДДТ.
Для борьбы с мухами, комарами, платяной молью предложен плифенат (VI; ЛД50 > 10000 мг/кг).
Важный представитель хлорорг. И. - g-изомер гексахлорциклогексана
 (g-ГХЦГ, линдан; ЛД50 25-200 мг/кг).
 Известен ряд высокоактивных И. - хлорциклодиенов, получаемых диеновым синтезом из гексахлорциклопентадиена. Практич. значение из них сохранил эндосульфан (тиодан, VII; ЛД50 40-100 мг/кг), к-рый используют в качестве инсектоакарицида на ягодных культурах и хлопчатнике (норма расхода 0,7-1,5 кг/га), а также для обработки цветущих растений (малотоксичен для пчел). Для борьбы с почвообитающими насекомыми путем протравливания семян кукурузы и сахарной свеклы применяют гептахлор
(VIII; ЛД50 500 мг/кг). Против колорадского жука (0,2-0,6 кг/га) и свекловичного долгоносика (1-2,4 кг/га) перспективен b-дигидрогептахлор (дилор, IX; ЛД50 > 2000 мг/кг). Мн. эффективные И. этой группы - альдрин, дильдрин, телодрин, эндрин и др., а также хлорированные терпены (полихлоркамфен, полихлорпинен) - из-за чрезмерной персистентности (продолжительности сохранения биол. активности) и высокой токсичности в с. х-ве почти не применяются. Несмотря на резкое сокращение ассортимента и произ-ва хлорорг. И. их потребление еще достаточно велико.
 
Фосфорорганические И. Одна из наиб. важных групп совр. И. по масштабам произ-ва и числу выпускаемых препаратов. Эти соед. отличаются высокой активностью при умеренных нормах расхода, широким спектром действия на вредителей, относительно быстрым разложением в окружающей среде с образованием нетоксичных продуктов.
В мировом ассортименте постоянно имеется 70-80 фосфорорг. И. Это - эфиры, тиоэфиры, эфироамиды фосфорной, тио- и дитиофосфорной и фосфоновой к-т общей ф-лы RRP(X)Y, где R и R - алкил, алкоксил (СН3О или С2Н5О, реже С3Н7О), алкилтио- или алкиламиногруппа; X - О или S; Y - группа, способная отщепляться при гидролизе.
Т и о ф о с ф а т ы. К этой группе И. относятся паратион (тиофос, X, X = S; ЛД50 6-50 мг/кг) - И. контактного, кишечного и фумигантного действия, весьма эффективный против насекомых и клещей, но очень токсичный для людей (в СССР запрещен), в организме активируется путем окисления в параоксон (X, X = О); метилпаратион (метафос, XI, R = 4-NO2; ЛД50 35 мг/кг), применяемый в больших масштабах, и его менее токсичные аналоги. Среди них: хлортион (R = 3-Cl-4-NO2), фенитротион (R = 3-CH3-4-NO2; ЛД50 417-518 мг/кг), цианофос (R = 4-CN; ЛД50 670 мг/кг), фентион (R = 3-CH3-4-SCH3; ЛД50 250 мг/кг), бромофос (R = 2,5-Сl2-4-Вr; ЛД50 > 2000 мг/кг), феихлорфос (трихлорметафос, R = 2,4,5-Сl3; ЛД50 2100 мг/кг). Эти препараты широко применяют для защиты с.-х. культур, а бромофос и фенхлорфос - для борьбы с эктопаразитами животных и бытовыми насекомыми.
 
К др. группе тиофосфатов относятся соед., содержащие в молекуле гетероциклич. радикал. Наиб. известный - диазинон (базудин, XII; ЛД50 67-130 мг/кг), применяемый для обработки с.-х. культур в период вегетации и для борьбы с почвообитающими насекомыми. Против последних используют также пиримифос-этил (XIII) и изазофос (XIV).
 
В качестве контактных И. применяют хлорпирифос (дурсбан, XV) и пиридафентион (XVI), а также метильные аналоги пиримифоса (актеллиж) и хлорпирифоса.
 
Широко известен фоксим (XVII; ЛД50 1780 мг/кг) - И. широкого спектра действия, используемый против колорадского жука (0,4-1,25 кг/га), хлебной жужелицы, долгоносика и др., а также для обработки зерна в хранилищах.
 
Наряду с указанными соед., содержащими тионный атом S, инсектицидными св-вами обладают также тиолфосфаты: деметон-S-метилсульфон (CH3O)2P(O)SCH2CH2SO2C2H5 (ЛД50 37,5 мг/кг), вамидотион
(CH3O)2P(O)SCH2CH2SCH(CH3)CONHCH3 (ЛД50 88-103 мг/кг) и деметон-метил (метасистокс), содержащий смесь тионного и тиольного изомеров
(CH3O)2P(S)OCH2CH2SC2H5 и (CH3O)2P(O)SCH2CH2SC2H5. Эти И. обладают системным действием и используются для борьбы с сосущими насекомыми и растительноядными клещами.
Среди др. тиолфосфатов представляют интерес несимметрично замещенные соед. общей ф-лы XVIII, где Y - apoматич. или гетероциклич. радикал. Один из них - профенфос (XVIII, Y = 2-Сl-4-ВrС6Н3; ЛД50 358 мг/кг), контактный И. широкого спектра действия (0,4-1 кг/га), его ( — )-изомер более активен и менее токсичен, чем ( + )-изомер, в организме активируется путем окисления атома S до SO и SO2.
Д и т и о ф о с ф а т ы. Из этой группы И. в больших масштабах применяют: малатион (карбофос, XIX; ЛД50 1400 мг/кг), используемый на мн. полевых и плодовых культурах (0,5-1,5 кг/га), а также для борьбы с вредителями хлебных злаков и бытовыми насекомыми; инсектоакарицид фозалон (XX; ЛД50 84-108 мг/кг), один из важнейших заменителей ДДТ на мн. с.-х. культурах (0,2-1,5 кг/га); фосмет (фталофос, XXI), используемый гл. обр. против комплекса вредителей сахарной свеклы (0,5-1,5 кг/га), и диметоат (рогор, XXII; ЛД50 220,5 мг/кг) - инсектоакарицид контактного и системного действия, применяемый на плодовых, овощных, зерновых и техн. культурах (0,2-1,6 кг/га).
 
Указанные препараты умеренно персистентны (разлагаются через 10-15 дней, фозалон - через 30 дней).
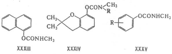
Как И. и акарицид системного и контактного действия для обработки мн. с.-х. культур рекомендован формотион (XXIII; ЛД50 350-420 мг/кг). Среди дитиофосфатов имеется
и ряд несимметрично замещенных соед. ф-лы XXIV, напр., сулпрофос (R = 4-SCH3) и протиофос (R = 2,4-Сl2; ЛД50 925-966 мг/кг).
 
В числе И. из групп тио- и дитиофосфатов встречается ряд соед., содержащих две фосфорильные группы, в частности темефос (дифос, XXV; ЛД50 2000-2300 мг/кг), успешно применяемый для борьбы с личинками комаров и мух, а также для защиты с.-х. культур от клопов, трипсов и др. вредителей.
 
Ф о с ф а т ы. Наиб. практич. значение имеют: ДДВФ (дихлорфос, XXVI, Y = СН=ССl2; ЛД50 23-87 мг/кг) - контактный И. и акарицид, применяемый для обработки садов и овощных культур, а также как фумигант для обработки зерна в хранилищах (15 г/т) и как ср-во против моли, кожееда и др. бытовых насекомых; налед (XXVI, Y = СНВrССl2Вr; ЛД50 430 мг/кг) - И. контактного, кишечного и фумигантного действия, в организме способен превращаться в ДДВФ; тетрахлорвинфос (гардона, XXVII; ЛД50 1900 мг/кг), особенно эффективный против грызущих насекомых на плодовых культурах и хлопчатнике (0,8-1,5 кг/га).
 
В качестве системных И. применяют: дикротофос [бидрин, XXVI, Y = C(CH3)=CHCON(CH3)2; ЛД50 22 мг/кг], к-рый в организме активируется путем деметилирования, превращаясь в монокротофос [XXVI, Y = C(CH3)=CHCONHCH3]; кротоксифос [циодрин, XXVI, Y = C(CH3)=CHCOOCH(CH3)C6H5], используемый для борьбы с эктопаразитами скота, и гептенофос (XXVIII; ЛД50 117-121 мг/кг), предназначенный для защиты с.-х. культур и для борьбы с эктопаразитами скота. У дикротофоса и кротоксифоса наиб. активны цис
-изомеры.
 А м и д о ф о с ф а т ы. В качестве системного И. нек-рое применение нашел метамидофос (CH3O)(CH3S)P(О)NH2 (ЛД50 30-50 мг/кг). Ацилированием из него получают ацефат (CH3O)(CH3S)P(О)NHCOCH3 (ЛД50 866-945 мг/кг) - высокоактивный проинсектицид, к-рый в организме активируется, отщепляя ацетильную группу. 
 
Используются также пропетамфос (XXIX; ЛД50 82 мг/кг) - препарат длит. действия (2-3 мес.), применяемый главным образом в зданиях, и фостиетан (XXX; ЛД50 5,7 мг/кг) - И. и нематоцид, вносимый в почву (1-3 кг/га).
 
Ф о с ф о н а т ы. Немногочисл. группа, в к-рой наиб. важен трихлорфон (хлорофос, XXX; ЛД50 225-1200 мг/кг), используемый для борьбы с бытовыми насекомыми, эктопаразитами животных, а также в больших кол-вах (особенно после запрещения ДДТ) против двукрылых и чешуекрылых насекомых в с. х-ве (0,6-3,5 кг/га), малотоксичен для пчел, в организме насекомого активируется, превращаясь (путем дегидрохлорирования и перегруппировки) в ДДВФ. За рубежом против комплекса вредителей риса, хлопчатника и плодовых культур иногда используют салитион (XXXII), к-рый активируется в организме, превращаясь в кислородный аналог - салиоксон.
 
Известны высокоактивные И. среди амидов и эфиров пирофосфорной к-ты, но из-за чрезмерной токсичности для людей и животных они вытеснены более безопасными препаратами.
Карбаматы. Из множества известных И. этой группы практич. применение нашли лишь немногие; наиб. важный -карбарил (севин, XXXIII; ЛД50 310-350 мг/кг), используемый для обработки мн. с.-х. культур (0,8-2 кг/га). Несмотря на высокую токсичность за рубежом в значит. кол-вах применяют (гл. обр. в гранулир. виде) карбофуран (XXXIV, R = Н; ЛД50 6-14 мг/кг) - системный инсектоакарицид и нематоцид. Более безопасное его производное -проинсектицид карбосульфан [XXXIV, R = SN(C4H9)2; ЛД50 138 мг/кг].
 
Для борьбы с мухами, комарами и тараканами, а также в с. х-ве (1-2 кг/га) используют пропоксур [XXXV, R = 2-ОСН(СН3)2] и др. соед. ф-лы XXXV: меобал [R = 3,4-(СН3)2]; макбал [R = 3,5-(СН3)2]; промекарб (R = 3-изо-
С3Н7-5-СН3); этиофенкарб (кронетон, R = 2-CH2SC2H5; ЛД50 411-499 мг/кг) - системный И. для уничтожения тлей (0,8-1,2 кг/га); меркаптодиметур [метиокарб, R = 4-SCH3-3,5-(CH3)2; ЛД50 130 мг/кг] - контактный И., акарицид, моллюскоцид и репеллент для птиц.
 Из числа оксимкарбаматов применяют: алъдикарб (XXXVI; ЛД50 0,93 мг/кг) - эффективный системный И., к-рый вносят в виде гранул в почву, где он оказывает также нематоцидное действие (самый токсичный из применяемых И., в СССР запрещен); метомил (XXXVII; ЛД50 17-24 мг/кг), используемый для внесения в почву и для опрыскивания растений (0,5 кг/га). Уменьшение токсичности оксимкарбаматов достигается введением в них заместителей, способных впоследствии отщепляться.
 
Так, из метомила получают тиодикарб (лепикрон, XXXVIII; ЛД50 325-431 мг/кг), высокоэффективный И. широкого спектра действия (0,25-0,5 кг/га). В числе карбаматных И.
имеются эксперим. препараты, у к-рых ЛД50 более 8000 мг/кг.
 
Среди N,N-диметилкарбаматов нек-рое практич. значение сохранил лишь пиримикарб (XXXIX; ЛД50 111 мг/кг) -быстродействующий системный И., весьма активный против тлей (0,3-1 кг/га).
Прочие И. В кон. 19-нач. 20 вв. широко использовались неорг. в-ва - "И. первого поколения" - арсенаты Са и Рb, ацетоарсенит меди (парижская зелень), арсенит Na, криолит и др., обладающие преим. кишечным действием, однако они утратили свое значение и вытеснены более безопасными и эффективными орг. И. В числе последних нек-рое время использовались тиоцианаты, формамидины, ксантогенаты, алкиларилсульфонаты, нитрокарбазолы, а также дифениламин, фенотиазин и др., но по разным причинам в настоящее время они не применяются.
Существуют И., к-рые не м. б. определенно отнесены ни к одной из описанных групп, однако находят практич. применение благодаря их специфич. действию. Это, напр., И. для защиты шерстяных тканей от моли и против кожееда, способные удерживаться на волокнах шерсти в течение ряда лет. Такие И. наносят при крашении, а иногда при химчистке или стирке; наиб. употребительны препараты эйлан WAneu и эйлан U 33 (действующее в-во - хлорфенилид, ф-ла XL, n + m = 4-6), митин FF (действующее в-во - сулкофурон, XLI), митин N (флукофурон, XLII) и рериген (действующее в-во - пиретроид перметрин).
 
Разработаны И., влияющие на процессы метаморфоза и линьки насекомых. К ним относятся аналоги прир. ювенильного гормона насекомых (ювеноиды
), а также ингибиторы синтеза хитина. Представителем последних является дифлубензурон (димилин, XLIII; ЛД50 4660 мг/кг), применяемый в лесном хозяйстве и садоводстве (75-300 мг/кг). При его действии у насекомого после линьки не образуется достаточно прочная защитная кутикула, и оно погибает. В качестве И. проходят испытания ряд аналогов дифлубензурона.
 
 
Механизм действия И. Большинство применяемых И. действует на нервную систему насекомых. И. из групп фосфорорг. соед. и карбаматов ингибируют фермент ацетилхолинэстеразу (АХЭ) (соотв. путем фосфорилирования или карбамоилирования), и последний теряет способность
гидролизовать ацетилхолин - в-во, участвующее в передаче нервного импульса через синапсы. Мн. фосфорорг. И. (особенно те, к-рые содержат связи P=S и Р—NH—ацил) под действием ферментов оксидаз окисляются, превращаясь в более сильные ингибиторы АХЭ, т. е. активируются. В то же время под действием др. ферментов (фосфатаз, карбоксиэстераз, карбоксиамидаз) эти И. гидролизуются до соответствующих фосфорных или иногда карбоновых к-т, утрачивая при этом способность ингибировать АХЭ.
Такие И., как никотин и производные нереистоксина, взаимод. не с АХЭ, а с находящимися в постсинаптич. мембранах рецепторами, к-рые вследствие этого теряют способность воспринимать поступающий импульс.
ДДТ и родственные ему хлорорг. И., взаимодействуя с мембранами нервных клеток, изменяют, по-видимому, их проницаемость для ионов и нарушают баланс концентраций ионов Na+ и К+, необходимый для создания электрич. потенциала и передачи нервного импульса по аксонам (проводящим отросткам нервных клеток). Однако насекомые, устойчивые к ДДТ, нередко остаются чувствительными к др. хлорорг. И., что указывает на определенное различие в механизмах их действия.
Пиретрины и пиретроиды нарушают процесс передачи нервных импульсов как в аксонах (подобно ДДТ), так и в синапсах; их действие не связано с ингибированием АХЭ и затрагивает периферич. и центр. нервную систему.
Существуют И., действие к-рых основано на ингибировании внутриклеточных окислит. процессов (нитрофенолы, арсенаты, ротенон), а также в-ва, регулирующие рост и развитие насекомых.
Мн. И. токсичны для людей и при неправильном применении опасны для окружающей среды, поэтому их произ-во, продажа и применение в каждой стране допускаются лишь с разрешения компетентных государств. органов. При этом правила хранения, транспортировки и применения строго регламентированы. Допустимые остаточные кол-ва каждого И. в продуктах питания строго нормированы на заведомо безопасном уровне и контролируются органами санинспекции.
Мировое произ-во И. на 1986 оценивалось в 4,7 млрд. долл., произ-во И. (действующих в-в), напр., в США составило 76,4 тыс.т/год (1984), в ФРГ - ок. 33 тыс.т/год (1986).
Лит.: Справочник по пестицидам, М., 1985; Гар К. А., Инсектициды в сельском хозяйстве, 2 изд., М., 1985; Мельников Н. Н., Пестициды. Химия, технология и применение, М., 1987; Chemie der Pflanzenschutz- und Schadlingsbekampfungsmittel. Hrsg. von R. Wegler, В., 1970-81, Bd. 1, S. 57-474; Bd. 3, S. 215-24; Bd. 6, S. 185-214; Bd. 7, S. 1-210; Coats J. R. (ed.), Insecticide mode of action, N. Y., 1982; Chemistry of pesticides, ed. by K. H. Buchel, N.Y., 1983; The pesticide manual: a world compendium, 8 ed., [Croydon], 1987.
 Н. Н. Мельников, Г. С. Швиндлерман.
 
|