N-МЕТИЛПИРРОЛИДОН
(1-метил-2-пирролидон; N-ме-тил-g-бутиролактам), мол. м. 99,13; бесцв. жидкость;
т.пл. -24°С, т.кип. 206 °С; 82-84 °С/10 мм рт.ст.; d204
 1,0328; nD20 1,4684;
 легко раств. в воде, спиртах, ацетоне, бензоле, ксилоле. По
хим. св-вам - типичный представитель N-алкилированных лактамов
.
 В нейтральных средах
 лактамное кольцо устойчиво, в водных р-рах NaOH или в конц. НСl гидролизуется
в g-(N-метил-амино)масляную к-ту. Обладает слабыми основными св-вами, образует
гидрохлорид с т.пл. 80-88 °С; конденсируется в присут. этилата Na с низшими
алкиловыми эфирами никотиновой к-ты, образуя (2-оксо-1-метил-3-пир-ролидинил)-3-пиридилкетон:

 
 Качественная р-ция на М.-образование
с PtCl4 в кислой среде оранжевых кристаллов с т.пл. 100°С (безводные
кристаллы имеют т.пл. 110°С).
 Методы синтеза М. 1) Взаимод.
g-бутиролактона с метиламином при 200-250 °С, 4-20 МПа в присут. катализатора
(Аl2О3, цеолиты) или без него (пром. способ):
 
 2) Метилирование Na-соли
пирролидона с помощью СН3I или (CH3)2SO4
в бензоле:
 
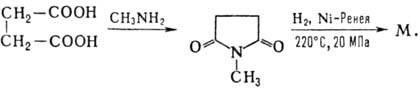
3) Взаимод. янтарной к-ты
с CH3NH2 с послед. каталитич. (Ni-Ренея, Со, Pd, Re) или
электрохим. восстановлением, напр.:
 
 М.-р-ритель углеводородов
нефти, синтетич. смол и др. орг. соед.; осветлитель нефтяных смазочных масел
и смол, керосина, вазелина, парафина; осадитель в произ-ве по-ливинилхлоридного
волокна; диспергирующее ср-во для минер. и орг. пигментов в произ-ве лаков и
в процессе крашения.
 М. малотоксичен; не обладает
коррелирующим действием.
 Лит.: Хейфец В.
 И., Пивоненкова Л. П., Любимова Т. Б., Альфа-пир-ролидон, М., 1976, с. 30-34.
М. А. Юровская.
 
|