АЛКАЛОИДЫ СЕКУРИНЕГИ
,
выделены из растений рода секуринега (Securinega) и филантус (Phyllanthus) семейства
молочайных. Насчитывают ок. 20 представителей. Молекулы А.с. содержат индолизидиновый
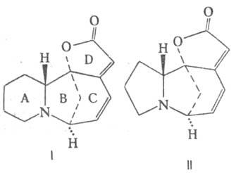
или пирролизидиновый фрагменты. Примерами служат соотв. секуринин (ф-ла I) и
чорсекуринин (II). Т-ра плавления последнего 36-37 °С, [ ]D
— 272° (этанол). Алкалоиды типа II относительно неустойчивы и легко полимеризуются.
]D
— 272° (этанол). Алкалоиды типа II относительно неустойчивы и легко полимеризуются.
Многообразие А. с. обусловлено разл. пространств. расположением колец
А, В, С и D, присутствием гидрокси-и метоксигрупп в кольцах А и С и частичным
восстановлением двойных связей (при наличии заместителей в кольце С двойная
связь отсутствует).
 
Среди А. с. обнаружены соед., обладающие стимулирующим действием на
центр. нервную систему, противоопухолевой активностью и ингибирующие ацетилхолинэстеразу.
Наиб. изучен секуренин: т. пл. 142-143°С, [ ]D
-1042° (этанол); раств. в хлороформе, плохо-в воде, диэтиловом эфире, ацетоне.
Выделяется из секуринеги полукустарниковой (Securinega suffruticosa); в
сухом растит. сырье содержание алкалоида от 0,07 до 0,84% по массе. Секуринин-стимулятор
центр. нервной системы, менее токсичный, чем стрихнин. Применяется в медицине
(в виде нитрата) при пе-риферич. параличах, нервных и психич. заболеваниях
и др.
]D
-1042° (этанол); раств. в хлороформе, плохо-в воде, диэтиловом эфире, ацетоне.
Выделяется из секуринеги полукустарниковой (Securinega suffruticosa); в
сухом растит. сырье содержание алкалоида от 0,07 до 0,84% по массе. Секуринин-стимулятор
центр. нервной системы, менее токсичный, чем стрихнин. Применяется в медицине
(в виде нитрата) при пе-риферич. параличах, нервных и психич. заболеваниях
и др.
Лит.: Snieckus V., в кн.: Alkaloids, v. 14, N.Y., 1973, p. 425-506.
 М. С. Юнусов.