ПЛАНИРОВАНИЕ ЭКСПЕРИМЕНТА
(активный эксперимент) в химии, раздел мат. статистики, изучающий методы
организации совокупности опытов с разл. условиями для получения наиб. достоверной
информации о св-вах исследуемого объекта при наличии неконтролируемых случайных
возмущений. Величины, определяющие условия данного опыта, обычно наз. факторами
(напр., т-ра, концентрация), их совокупность - факторным пространством. Набор
значений факторов характеризует нек-рую точку факторного пространства, а совокупность
всех опытов составляет т. наз. факторный эксперимент. Расположение точек в факторном
пространстве определяет план эксперимента, к-рый задает число и условия проведения
опытов с регистрацией их результатов.
Начало П. э. положили труды
P. Фишера (1935). Он показал, что рациональное П. э. дает не менее существ.
выигрыш в точности оценок, чем оптим. обработка результатов измерений.
П. э. используют для изучения
и мат. описания процессов и явлений путем построения мат. моделей (в форме т.
наз. ур-ний регрессии)-соотношений, связывающих с помощью ряда параметров значения
факторов и результаты эксперимента, наз. откликами. Осн. требование, предъявляемое
к планам факторного эксперимента, в отличие от пассивного эксперимента (см. Обработка результатов эксперимента
),-минимизация числа опытов, при к-рой
получают достоверные оценки вычисляемых параметров при соблюдении приемлемой
точности мат. моделей в заданной области факторного пространства. В этом случае
задача обработки результатов факторного эксперимента заключается в определении
числ. значений указанных параметров.
Одним из способов повышения
точности обработки результатов П. э. служит замена переменных, при к-рой от
исходных (физических, или натуральных) значений переменных, выраженных в соответствующих
единицах измерений, переходят к безразмерным значениям, определяемым ф-лой:

где m-число факторов;
xj-безразмерное значение переменной; zj - значение
физ. переменной;
- среднее значение физ. переменной, Dzj =
-
интервал ее варьирования;
и
-макс.
и миним. значения физ. переменной, к-рые м. б. заданы в опытах. При таком преобразовании
значения всех хj или уровни факторов, изменяются в одинаковых
пределах: от -1 до +1. Точка факторного пространства, отвечающая нулевым значениям
факторов, наз. центром плана.
Область применения П. э.
распространяется на процессы и явления, зависящие от т.наз. управляемых факторов,
т. е. факторов, к-рые можно изменять и поддерживать на заданных уровнях. Осн.
направления использования П. э. в хим. технологии: 1) выделение т.наз. значимых
факторов, существенно влияющих на изучаемый процесс; 2) получение мат. моделей
объектов исследования (аппроксимационные задачи); 3) поиск оптим. условий протекания
процессов, т. е. совокупности значений факторов, при к-рой заданный критерий
оценки эффективности процесса имеет наилучшее значение (экстремальные задачи);
4) построение диаграмм состав-свойство; 5) изучение кинетики и механизма процессов.
Выделение значимых факторов
осуществляется в ходе т. наз. отсеивающего эксперимента. Число опытов в
нем м. б. больше, равно или меньше числа проверяемых факторов. Планы, отвечающие
таким экспериментам, наз. соотв. ненасыщенными, насыщенными или сверхнасыщенными.
Ненасыщ. планы используют,
если предварит. исследованию подлежат сравнительно небольшое число факторов
(т < 6 -
7) и их возможные взаимодействия. Эффект взаимод. двух или
неск. факторов проявляется при одно-врем. их варьировании, когда влияние каждого
фактора на отклик зависит от уровней, на к-рых находятся др. факторы. Ненасыщ.
планы обычно включают значит. число опытов и поэтому достаточно трудоемки. В
качестве таких планов часто применяют планы т. наз. полного факторного эксперимента
(ПФЭ), в к-ром каждый фактор изменяется одинаковое число раз q (где q
2-число
выбранных уровней); при этом реализуются все возможные опыты, различающиеся
значением хотя бы одного фактора. Число опытов в ПФЭ n = qm:
напр., для m = 2 и q = 2 число n = 22 =
4 опыта.
Условия проведения опытов
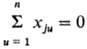
м. б. представлены в графич. (рис. 1) или табличной (см. табл.) форме. В последнем
случае первый столбец (i-номер опыта) и совокупность значений факторов
(второй и третий столбцы) образуют т. наз. матрицу плана ПФЭ, к к-рой предъявляют
след. требования: 1) сумма элементов столбца каждого фактора равна нулю:
(и-текущий номер
опыта);
2) сумма квадратов элементов
столбца каждого фактора равна числу опытов:
3)сумма почленных произведений
любых столбцов двух
любых факторов равна нулю:

Значения физ. переменных,
соответствующие матрице, выбранной для реализации опытов, рассчитывают по ф-ле:

При числе опытов в ПФЭ,
значительно превышающем число определяемых параметров модели, применяют т. наз.
дробные реплики (или дробный факторный эксперимент -ДФЭ), к-рые представляют
собой часть плана ПФЭ. ДФЭ может содержать половину, четверть и т.д. опытов
от ПФЭ. Соотв. различают полуреплики (qm-
1), четвертьреп-лики
(qm-
2) и т. п. В общем случае ДФЭ м. б. обозначен как qm-l,
где l-дробность реплики. К матрице ДФЭ предъявляют
те же требования, что и к матрице ПФЭ. Планы, полученные с использованием ПФЭ
или его дробных реплик, в к-рых переменные варьируются на двух уровнях, наз.
линейными либо планами 1-го порядка, т.к. при их применении можно построить
ур-ние модели, включающее исследуемые факторы лишь в 1-й степени.

Насыщ. планы используют,
если мат. модель предполагается в виде полинома (ур-ния регрессии) 1-го порядка,
общий вид к-рого м. б. представлен выражением:

где y-отклик, b0
и bj-параметры модели. В качестве насыщ. планов наиб.
часто применяют планы ДФЭ.
Алгоритм выделения значимых
факторов в этом случае включает след. этапы:
1) по ф-ле определяют параметры
мат. модели.

2) По результатам параллельных
опытов вычисляют дисперсию воспроизводимости, характеризующую разброс значений
отклика. Напр., при проведении r параллельных опытов в одной точке факторного
пространства:

где

3)По ф-ле определяют дисперсию
каждого параметра.

4) Для оценки точности
найденных значений параметров, а также полученной мат. модели используют статистич.
критерии соотв. Стьюдента (t-критерий) и Фишера (F-кри-терий).
При этом количеств. мерами служат т. наз. доверительная вероятность b или
уровень значимости p= 1 — b и число степеней свободы f, т.
е. число экспериментов за вычетом числа констант, рассчитываемых по результатам
этих опытов. Число констант определяется видом выбранной дисперсии; напр., в
случае дисперсии воспроизводимости по результатам параллельных опытов находят
величину
, поэтому fb = r — 1. При заданных требованиях на точность
результатов измерений доверительная вероятность (уровень значимости) определяет
надежность полученной оценки. Значения указанных критериев табулированы и приводятся
в спец. литературе.
5) Значимость каждого фактора
проверяют оценкой значимости соответствующего параметра, т.к. вклады факторов
в значение отклика пропорциональны значениям параметров. Для оценки их значимости
рассчитывают соответствующее значение t-критерия по ф-ле:

Полученное значение сравнивают
с табличным tT, найденным на предыдущем этапе. При выбранной
доверительной вероятности
параметр считается значимым, если tbi. > tT.
В противном случае параметр незначим и соответствующий фактор можно
исключить из построенной мат. модели.
Сверхнасыщ. планы используют,
если на процесс может влиять большое число факторов и их взаимодействий. Наиб.
часто с целью уменьшения их числа применяют метод случайного баланса, позволяющий
вместо ПФЭ и ДФЭ применять эксперименты, в к-рых значения факторов распределены
по уровням случайным образом (рандомизи-рованы). Метод имеет высокую разрешающую
способность (возможность выделять сильно влияющие факторы), но малую чувствительность
(т. е. способность выделять значимые параметры модели, характеризующие факторы,
к-рые имеют относительно слабое влияние). Используют также метод последоват.
отсеивания: все изучаемые факторы на основе априорной информации подразделяют
на группы, каждую из к-рых в дальнейшем рассматривают как отдельный комплексный
фактор. В зависимости от полученной при этом информации остальные факторы снова
разбивают на группы и выполняют новый цикл расчетов.
Аппроксимационные задачи.
Для учета нелинейностей объекта исследований его мат. описание часто получают
в виде полинома 2-го порядка, к-рый в общем виде выражается ф-лой:

Напр., полином 2-го порядка
для двух факторов записывается след. образом:

Для нахождения параметров
таких моделей недостаточно варьирования значений факторов на двух уровнях, поскольку
нелинейность не м. б. определена двумя точками. Поэтому для указанных моделей
обычно применяют т. наз. композиц. планы, включающие изменения факторов более
чем на двух уровнях, что позволяет использовать их для построения моделей порядка
выше первого. Общий алгоритм решения аппроксимац. задачи включает этапы.
1) Выбирают число существенных
факторов, их средние значения и интервалы варьирования-эта информация м. б.
получена после проведения отсеивающего эксперимента или на основании знаний
и интуиции исследователя.
2) Строят матрицу плана-на
начальном этапе исследования в зависимости от числа факторов выбирают, как правило,
планы 1-го порядка (ПФЭ или ДФЭ).
3) Рандомизируют опыты-для
уменьшения влияния сис-тематич. ошибок опыты проводят в условиях, соответствующих
строкам матрицы плана, выбираемым в случайном порядке (целесообразность такого
приема подтверждена на практике).
4) Обрабатывают полученные
результаты-рассчитывают параметры и составляют ур-ние регрессии, оценивают значимость
параметров и проверяют адекватность (т.е. соответствие) полученной мат. модели
имеющимся эксперим. данным. Для проверки адекватности модели анализируют разность
между опытными значениями и значениями отклика, предсказанными по полученной
мат. модели в разных точках факторного пространства. В качестве последних м.
б. взяты как точки плана (при ненасыщ. планах), так и дополнит. точки. Последние
обычно выбирают в области, представляющей наиб. интерес, либо располагают таким
образом, чтобы полученные результаты можно было использовать для построения
более точной модели высокого порядка.
5) Принимают решение о
дальнейших действиях: если на этапе 4 получено адекватное ур-ние регрессии,
вывод аппроксимац. зависимости на этом заканчивают; в противном случае выясняют
причину неадекватности и проводят новую серию экспериментов с использованием
планов 1-го порядка (уменьшают интервалы варьирования факторов, включают в мат.
модель новый фактор и т.д.) или более высоких
порядков (выбор определяется целями исследователя).
В результате проверки адекватности
модель может оказаться неадекватной вследствие того, что:
а) в нее включены не все
факторы, существенно влияющие на процесс. В этом случае выбирают более полную
модель и для определения ее параметров строят, реализуют и обрабатывают новую
матрицу планирования;
б) не учтены эффекты взаимод.
разных факторов. Для их учета предполагаемые взаимод. включают в модель и, если
позволяет исходный план (число опытов не менее числа определяемых параметров
новой модели), повторно обрабатывают результаты эксперимента. Если начальный
план не дает возможности провести такую обработку (п < т), выполняют
дополнит. опыты с расширенным планом (напр., от полуреплики переходят к ПФЭ
и т.п.), причем реализуются только те опыты, к-рые не входили в исходный план;
в) принятый порядок модели
ниже требуемого. Для проверки необходимо расширить используемый композиц. план,
включив опыты, обеспечивающие получение модели более высокого порядка. Если
модель высшего порядка будет адекватной, то это предположение подтверждается.
При проведении эксперимента
исследователь может предъявлять к мат. модели разл. требования: получение определенных
оценок ее параметров; обеспечение желаемых предсказательных св-в и т. п. Это
приводит к необходимости выбора спец. планов, подчиненных поставленным требованиям
(критериям). Среди критериев, удовлетворяющих первому требованию, наиб. общим
является D-критерий, соответствующий обобщенной дисперсии всех оценок
параметров мат. модели. Кроме него применяют А-критерий, отвечающий средней
дисперсии оценок параметров; Е-кри-терий, соответствующий длине макс.
оси эллипсоида рассеяния оценок параметров; критерий ортогональности, обеспечивающий
независимость определения параметров модели, и т.д. Среди критериев, удовлетворяющих
второму требованию, особенно часто используют G-критерий, отвечающий
макс. дисперсии предсказанных значений ф-ции отклика; Q-критерий, соответствующий
среднему значению дисперсий предсказанных значений; критерий ротатабельности,
отвечающий дисперсии оценки предсказанных значений отклика во всех точках, равноудаленных
от центра плана, и др.
Планы, минимизирующие приведенные
выше критерии, наз. соотв. D-оптимальными, A-оптимальными и т.д.
Как правило, не удается построить план, одновременно удовлетворяющий неск. критериям.
Исключение составляют линейные планы: напр., планы ПФЭ и ДФЭ не только ортогональны
и ротатабельны, но еще и D-, G-
, А- и E-оптимальны. Поэтому, если
цель исследования - построение нек-рой описательной мат. модели, аппроксимирующей
опытные данные, рекомендуют использовать планы, отвечающие D-критерию;
если модель должна обладать наилучшими предсказательными св-вами, используют
планы, соответствующие G-
или Q-критерию. Если, наконец, цель
эксперимента - поиск оптим. условий функционирования объекта, часто применяют
ротатабельные планы.
Экстремальные задачи
имеют целью определить наилучшее значение целевой ф-ции, в качестве к-рой
принимают значение интересующей исследователя характеристики процесса. Такие
задачи м. б. решены по крайней мере двумя способами: с построением и без построения
мат. модели.
П.э. с построением мат.
модели процесса. На основе выбранного плана строят модель, отвечающую рассматриваемому
отклику, и, используя ее, с помощью известных методов поиска экстремума находят
значения факторов, при к-рых целевая ф-ция, определенная по модели, будет экстремальной.
Если найденные значения факторов, соответствующие экстремальной точке, лежат
на границе примененного плана, область планирования либо смещается, либо расширяется
и строится новая модель, после чего поиск экстремума повторяется. Задача считается
решенной, если вычисленные координаты точки экстремума
находятся внутри области, характеризуемой использованным планом.
На практике такой подход
часто реализуют методом т. наз. крутого восхождения (метод Бокса-Уилсона). Выбирают
начальную точку, в окрестности к-рой проводят ПФЭ или ДФЭ (в зависимости от
числа факторов); по его результатам рассчитывают параметры мат. модели 1-го
порядка. Если модель адекватна, с ее помощью определяют направление изменения
факторов, соответствующее движению к экстремальному значению целевой ф-ции в
направлении градиента или антиградиента (соотв. при поиске максимума или минимума).
Движение в выбранном направлении осуществляют с помощью последовательно выполняемых
опытов и производят до тех пор, пока отклик изменяется желаемым образом. В найденной
наилучшей (для выбранного направления) точке снова выполняют ПФЭ или ДФЭ и т.д.
Изложенную процедуру повторяют до построения адекватной модели на каждом этапе.
Неадекватность модели, полученной на очередном этапе, свидетельствует о том,
что, возможно, достигнута область экстремума, в к-рой линейную модель уже нельзя
использовать. Для уточнения положения экстремума в этой области можно применять
модель 2-го порядка, построенную посредством соответствующих планов.
Непосредств. эксперимент
на объекте (без построения модели). Стратегия проведения опытов определяется
выбранным методом оптимизации. При этом значение целевой ф-ции вычисляют не
по модели, а находят непосредственно из опыта, выполненного в соответствующих
условиях. Наиб. часто для поиска наилучшего значения целевой ф-ции используют
последовательный симплексный метод, метод Гаусса-Зейделя и т.п.
Построение диаграмм
состав-свойство. Построение таких диаграмм - важная часть физ.-хим. исследований
разл. смесей. Для смесей, содержащих k компонентов, характерно наличие
след. ограничения:

Сумма концентраций компонентов
смеси обычно нормируется, поэтому соотношение (8) имеет вид:

где xi-относит.
концентрация i-го компонента смеси. При обработке результатов активного
эксперимента выражение (9) определяет в n-мерном пространстве переменных
xi область их допустимых изменений, называемую симплексом.
Напр., в случае трех переменных симплекс представляет собой равносторонний треугольник
(рис. 2). Вершинам симплекса соответствуют чистые компоненты. Точки на границах
симплекса (ребрах) отвечают бинарным смесям соответствующих пар компонентов.
Любая точка внутри симплекса отвечает составу смеси, в к-рой присутствуют все
три компонента (указанные точки отмечены на рис. 2 штриховкой). Для четырехкомпонентной
смеси симплексом служит тетраэдр, грани к-рого- симплексы, соответствующие трехкомпонентным
смесям, и т.д.
Согласно условию (9), упомянутые
выше факторные эксперименты непригодны для построения диаграмм состав-свойство
из-за невозможности независимого варьирования каждого фактора. На практике для
построения таких моделей иногда применяют т. наз. симплекс-решетчатые планы
(планы Шеффе), представляющие собой набор точек, равномерно распределенных на
границе и внутри симплекса. Эти планы обычно насыщены и м. б. композиционными;
напр., точки плана 1-го порядка входят во все послед. композиции. Предложены
также насыщ. симплекс-центроид-ные планы, к-рые состоят из точек, расположенных
в вершинах симплекса, серединах ребер, центрах граней разл. размерности и в
центре симплекса.
Адекватность моделей, построенных
на основе симплекс-решетчатых и симплекс-центроидных планов, вследствие их насыщенности
проверяют по результатам дополнит. опытов в т. наз. контрольных точках. Их координаты
целесообразно выбирать так, чтобы они могли быть использованы, если возникнет
необходимость получения уточненной модели более высокого порядка.
Изучение объектов, характеризуемых
наличием неоднород-ностей. В общем случае источники неоднородностей м. б.
непрерывного или дискретного типа. Источники непрерывного типа характеризуются
изменением св-в объекта (его дрейфом) во времени или по к.-л. другой переменной
(напр., неравномерное старение катализатора по длине аппарата). В случае невысоких
(по сравнению с продолжительностью проведения всех опытов эксперимента) скоростей
дрейфа можно использовать обычные методы П. э. При высоких скоростях дрейфа
применяют спец. планы, построенные, напр., на основе т. наз. ортогональных полиномов
Чебы-шева и т. п.

Источники дискретного типа:
различие в сырье, технол. аппаратах, способах проведения процессов, исполнителях
и т. д. В данном случае задача П. э. заключается в сокращении числа оцениваемых
возможных сочетаний изучаемых факторов, т.е. относится к классу т. наз. комбинаторных
задач. Последние решают с помощью планов, осн. на спец. правилах размещения
факторов по уровням в каждом опыте. Существует множество способов организации
таких планов, из к-рых наиб. распространены планы, использующие св-ва т. наз.
латинских и греко-латинских квадратов, кубов и др. Напр., латинский квадрат
представляет собой таблицу, состоящую из n строк и n столбцов
и заполненную n элементами (числами или буквами) так, что каждый элемент
повторяется в каждой строке и каждом столбце только один раз (рис. 3).
Изучение кинетики и
механизмов процессов связано, как правило, с разработкой т. наз. детерминир.
моделей, отражающих физ.-хим. сущность исследуемых явлений и содержащих описания
механизмов (кинетики) протекающих в них элементарных процессов. Среди задач,
решаемых методами П..э., можно выделить: 1) определение (уточнение) параметров
моделей; 2) т. наз. дискриминацию, т.е. отбрасывание проверяемых механизмов
элементарных процессов.
Для уточнения параметров
детерминир. моделей необходимо выбрать такой план эксперимента, к-рый обеспечит
наилучшие оценки определяемых величин. Наиб. часто для этих целей используют,
как указано выше, D-оптимальные планы. При уточнении параметров П. э.
сталкиваются с рядом трудностей. К основным из них можно отнести: 1) необходимость
иметь отдельный план для каждого класса моделей, т. е. в каждой конкретной ситуации
исследователь должен вычислить оптим. расположение точек в факторном пространстве
для постановки уточняющих экспериментов; 2) необходимость расчета параметров
детерминир. моделей с использованием методов оптимизации; это обусловлено обычно
нелинейностью данных моделей относительно определяемых параметров.
Задача дискриминации заключается
в выборе такой модели среди нескольких конкурирующих, к-рая наиб. правильно
отражает механизм процесса и обладает наилучшей предсказательной способностью.
Эта задача реализуется сопоставлением результатов оценки соответствия модели
опытным данным при использовании разл. описаний одного и того же процесса или
явления. Самый простой метод дискриминации состоит в вычислении параметров каждой
предложенной модели по эксперим. данным и послед. сравнении остаточных дисперсий.
В качестве выбранной модели принимают модель с миним. остаточной дисперсией.
Если не удается выбрать механизм, не противоречащий опытным данным, то либо
расширяют исследуемую область, либо смещают расположение точек в факторном пространстве
и операцию повторяют. Достоинство такого подхода заключается в том, что исследователь
одновременно решает обе задачи - вычисление параметров и дискриминацию моделей.
К недостаткам можно отнести то, что при этом часто требуются большие затраты
времени на эксперименты и расчет параметров моделей.
Лит.: Налимов В.
В., Чернова H. А., Статистические методы планирования экстремальных экспериментов,
M., 1965; Хикс Ч. Р., Основные принципы планирования эксперимента, пер. с англ.,
M., 1967; Маркова E. В., Лисенков A. H., Планирование эксперимента в условиях
неоднородностей, M., 1973; Зедгинидзе И. Г., Планирование эксперимента для исследования
многокомпонентных систем, M., 1976; Адлер Ю. П., Маркова E. Б., Грановский Ю.В.,
Планирование эксперимента при поиске оптимальных условий, 2 изд., M., 1976;
Рузинов Л. П., Слободчикова P. И., Планирование эксперимента в химии и химической
технологии, M., 1980; Новик Ф. С., Арсов Я. Б., Оптимизация процессов технологии
металлов методами планирования экспериментов, М.-София, 1980; Ахназарова С.
Л., Кафаров В. В., Методы оптимизации эксперимента в химической технологии,
2 изд., M., 1985. Н. С. Кондаков.
|