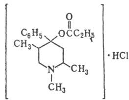
ПРОМЕДОЛ
(гидрохлорид
1, 2, 5-триметил-4-пропионил-окси-4-фенилпиперидина), мол.м. 311,86; бесцв.
кристаллы горького вкуса; т. пл. 222-223 °С; хорошо раств. в воде, хуже
в этаноле, не раств. в диэтиле-новом эфире и хлороформе. Получают из винилэтинилди-метилкарбинола
через 1,2,5-триметил-4-пиперидон.
 
 
По действию на центр. нервную
систему П. близок к морфину, но менее активен, меньше угнетает дыхание, не активирует
блуждающий нерв и рвотный центр. Умеренно сни жает тонус гладкой мускулатуры
желудочно-кишечного тракта и усиливает сокращения матки. Применяют П. как болеутоляющее
ср-во при травмах и разл. заболеваниях, сопровождающихся болевым синдромом,
при подготовке к операции и в послеоперац. период, для обезболивания родов.
 А. А. Бунятян, А. В.
 Мещеряков.
 
|