РЕГИОСЕЛЕКТИВНОСТЬ И РЕГИОСПЕЦИФИЧНОСТЬ
хим. р-ций. Р-ция
наз. региоспецифичной, если в качестве единств. продукта (в пределах ошибки
эксперимента) образуется один из двух или нескольких возможных регио-изомеров.
Региоизомерами наз. изомеры, образующиеся в результате атаки реагента по одному
из неск. возможных реакц. центров, имеющихся в молекуле субстрата. Если один
изомер лишь преобладает в продуктах р-ции, то эта р-ция наз. региоселективной.
Напр., присоединение несимметричного электроф. реагента НВг к несимметричному
олефину С6Н5СН=СН2 (стиролу) осуществляется
ре-гиоспецифично: образуется только один из двух возможных продуктов присоединения-С6Н5СНВrСН3,
но не С6Н5СН2СН2Вr.
 Для указания конкретного
направления р-ции А. Хассне-ром предложена система обозначений (не получила
широкого употребления): перед словом "региоспецифичность" или "региоселективность"
располагают разделенные дефисом названия присоединенного фрагмента и геминального
по отношению к нему заместителя в субстрате. Так, присоединение НВr к стиролу
есть Br-фенил региоспецифичная р-ция. Термины "региоселективность"
и "региоспецифичность" употребляют также в случаях разнообразных
процессов, включающих элиминирование, раскрытие цикла, циклопри-соединение и
т.д. Напр., р-ция отщепления НВг от трет-
пентилбромида под действием
 основания протекает регио-селективно (по правилу Гофмана):
 
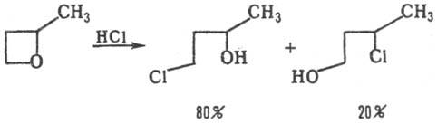
 Раскрытие цикла 2-метилоксетана
в соляной к-те идет также региоселективно:
 
 Р-ции Дильса-Альдера, 1,3-диполярного
циклоприсоеди-нения, как правило, региоспецифичны или, по крайней мере, региоселективны.
Алкилирование енолят-аниона 1,3-цикло-гександиона метилиодидом-С-региоспецифичная
р-ция, а бутилиодидом -О-региоселективная:
 
 Термины "региоселективность"
и "региоспецифичность" введены в 1968 Хасснером и широко используются
в хим. литературе.
 Лит.: Hassner A.,
 "J. Org. Chem.", 1968, v. 33, № 7, p. 2684-86.
 А. Г. Кутателадзе.
 
|