СМАЙЛСА ПЕРЕГРУППИРОВКА
,
внутримол. анионот-ропная перегруппировка ароматич. соединений, происходящая
в присут. оснований по схеме:

Х-обычно S, SO, SO2,
О; YH = ОН, NH2, NHR, SH; Z-цепочка,
состоящая, как правило, из 2-3 атомов С Р-цию осуществляют при нагр. (50-100°С)
ароматич. соед. в р-ре щелочи (р-рители- вода, вода-этанол, вода-ацетон, вода
- диоксан) от неск. минут до неск. часов. Известны примеры фотохим. С. п. Направление
перегруппировки в осн. определяется относит. нуклеофильностью X и У.
Часто нуклеоф. центры X
и Y находятся в орто-
положе-ниях по отношению друг к другу в бензольном
кольце:

В таких случаях заместитель,
введенный в положение 6 этого бензольного кольца (напр., СН3, Сl,
Вr), значительно ускоряет С.п., т.к. он обусловливает оптим. конформацию молекулы
в переходном состоянии.
Нуклеофугные группы в орто
-положениях
арила соединений Ar-X-Z-YH и Ar-Y-Z-XH достаточно легко подвергаются внутримол.
нуклеоф. замещению с образованием би-и полициклич. систем с двумя гетероатомами
X и Y в одном цикле. При этом необходимо учитывать возможность протекания
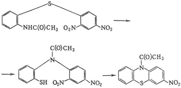
С. п. Так, o-гидроксидифенилсульфиды циклизуются в феноксатиины без С.
п., а циклизации о-аминодифенил-сульфидов в фенотиазины предшествует
С. п., напр.:

Механизм С. п. включает
образование переходного состояния (ф-ла I):

При наличии достаточного
кол-ва электроноакцепторных групп (напр., NO2) в орто-
и пара
-положениях
мигрирующего арила (они ускоряют С. п.) промежут. анионные спи-рокомплексы.
Майзенхаймера (I) довольно устойчивы.
Частный случай С.п.-перегруппировка
Трюса (открыта В. Трюсом в 1958) о-толиларилсульфонов под действием литийорг.
соединений в о-бензилсульфиновые к-ты:

Перегруппировка изучалась
С. Смайлсом начиная с 1930; несколько примеров аналогичных р-ций было известно
ранее.
Лит.: Марч
Дж., Органическая химия, пер. с англ., т. 3, М., 1987, с. 44-45; Warren L. А.,
Smiles S., "J. Chem. Soc.", 1930, p. 956-63; Truce W. E., Kreider
E. M., Brand W. W., в кн.: Organic Reactions, v. 18, N.Y., 1970, p. 99-215;
Drozd V. N, "Int J. Sulfur Chemistry", 1973, v. 8, № 3, p. 443-67.
В. Н. Дрозд.
|