СУЛЬФАНИЛАМИДНЫЕ ПРЕПАРАТЫ
(СП), лек. в-ва антимикробного действия-производные амида сульфани-ловой к-ты
(сульфаниламида; ф-ла I). Термины "сульфон-амиды" и "сульфаниламиды"
используют для обозначения как антимикробных препаратов (собственно СП), так
и препаратов с антидиабетич. (напр., букарбан
)и мочегонным действием
 (диакарб; см. Диуретические средства
), содержащих в молекуле сульфамоильную
  группу NH2SO2.
 Синтезировано более 10
тыс. производных сульфаниламида, из к-рых в медицине используется ок. 40. СП
получают замещением водорода сульфамоильной или аминогруппы сульфаниламида.
Большинство лек. ср-в характеризуется наличием незамещенной аминогруппы в пара-
положении
 к сульфамоильной. Антимикробная активность СП обычно повышается при замещении
водорода сулъфа-моильной группы нек-рыми гетероциклами (остатками пиримидина,
пиразина и др.) и снижается при замещении водорода аминогруппы.
 СП,-как правило, бесцв.
кристаллы без запаха; нек-рые слегка горьковатого вкуса. Окрашены салазосульфанил-амиды-
продукты азосочетания производных СП с салициловой к-той (см. ниже). СП в виде
оснований плохо растворимы в воде. Для приготовления водных растворов их используют
в виде натриевых или метилглюкаминовых солей.
 СП - препараты широкого
спектра антимикробного действия; активны в отношении грамположит. и грамотрицат.
бактерий, нек-рых простейших (плазмодии малярии, токсо-плазмы), хламидий, актиномицетов,
микобактерий лепры. Неактивны в отношении сальмонелл, синегнойной палочки, микобактерий
туберкулеза, спирохет, лептоспир, вирусов. СП оказывают обычно бактериостатич.
эффект, подавляя рост и размножение микробных клеток. Бактерицидное действие
СП наблюдается только при определенных условиях (в высоких концентрациях, при
продолжит. и постоянном воздействии препаратов).
 Механизм антибактериального
действия заключается в том, что СП нарушают образование микробами необходимой
для их развития дигидрофолиевой к-ты, в синтезе к-рой участвует n-аминобензойная
 к-та (ПАБК). СП конкурирует с ПАБК, в результате чего образуется не дигид-рофолиевая
к-та, а ее аналог. СП действуют на те виды микроорганизмов, к-рые самостоятельно
осуществляют Синтез дигидрофолиевой к-ты, и не действуют на бактерии, к-рые
утилизируют ее в готовом виде. При совместном применении СП с производными диаминопиримидина
синтез фолиевых к-т нарушается еще и на стадии образования тетрагидрофолиевой
к-ты, что приводит к нарушению синтеза нуклеотидов и обусловливает бактерицидное
действие.
 В зависимости от скорости
выведения из организма различают препараты: а) короткого действия (время выведения
50% препарата Т50 < 10 ч), б) среднего действия (Т50
10-24 ч), в) длит. действия (Т50 24-60 ч), г) сверхдлит. действия
(Т50 > 60 ч).
 СП средней продолжительности,
длительного и сверхдлительного действия составляют группу депо-сульфаниламидов.
Последние отличаются от СП короткого действия более высокой липофильностью и
поэтому легко реабсор-бируются в почечных канальцах и медленнее выводятся из
организма.
 Для системного лечения
инфекц. заболеваний применяют СП, к-рые легко всасываются в кровь из кишечника.
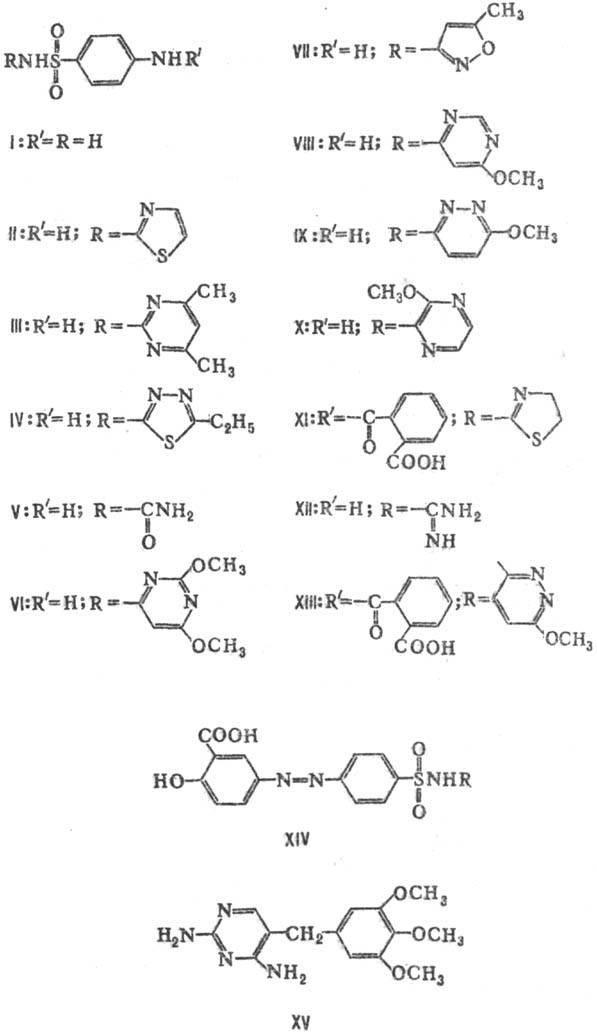
К ним относят стрептоцид (сульфамид; I), норсульфазол (II), сульфадимезин (III),
этазол (IV), уросульфан (сульфанил-мочевина; V), сульфадиметоксин (VI), сульфаметоксазол
(гантанол; VII), сульфамономегоксин (VIII), сульфапирида-зин (кинекс; IX), сульфален
(келфизин, сульфаметопиразин; X) и др.
 Для лечения дизентерии
и энтероколитов применяют препараты, к-рые трудно всасываются и относительно
долго находятся в кишечнике, напр. фталазол (XI), сульгин (XII), фтазин (XIII).
 
 Для лечения неспецифич.
язвенного колита, болезни Крона используют салазосульфаниламиды: салазосульфа-пиридин
(в ф-лг XIV R-2-пиридинил), салазопиридазин (в ф-ле XIV R такой же, как в IX),
салазодиметоксин (в ф-ле XIV R такой же, как в VI).
 Обычно применяют комбинир.
препараты, содержащие СП и производные диаминопиримидина, потенцирующие действие
СП, напр.: бисептол (бактрим)-смесь сульфамет-оксазола (VII) и триметоприма
(XV) в соотношении 5:1; сульфатен-смесь сульфамонометоксина (VIII) и триметоприма
в соотношении 2,5:1.
 При больших концентрациях
СП в организме возможно развитие кристаллурии (выпадение в почках кристаллов
СП и продуктов их ацетилирования и выведение их с мочой) и др. побочных явлений.
 Лит.: Падейская
 Е. Н., Полухина Л. М., Новые сульфаниламидные препараты длительного действия
для лечения инфекционных заболеваний, М., 1974; Кивмаи Г. Я., Рудзит Э.Я., Яковлев
В. П., Фармакокинетика хи-миотерапевтических препаратов, М., 1982; Машковский
М.Д., Лекарственные средства, 11 изд., т. 2, М., 1988. Л. Д. Шипилова.
 
|