ТИОИНДИГОИДНЫЕ КРАСИТЕЛИ
,
содержат характерный для тиоиндиго структурный фрагмент тиоиндоксила (ф-ла
I). Относятся к индигоидным красителям
.

Практич. применение находят:
тиоиндиго фиолетовый (ф-ла II), тиоиндиго красно-коричневый Ж (III), тиоиндиго
черный (IV), тиоиндиго алый К (V), тиоиндиго алый Ж (VI) и др., а также группа
производных тиоиндиго с разл. заместителями в молекуле. Цвет производных
тиоиндиго в зависимости от природы и положения заместителей варьирует в широких
пределах (ниже указаны заместители и цвет окраски): 5,5-диэтокси, синий; 6,6-диэтокси,
оранжевый; 6,6-дихлор, розовый с синим оттенком; 5,5-дихлор-7,7-диметил,
красно-фиолетовый; 5,5-диметил-7,7-дихлор, ярко-розовый с желтым оттенком.

Для получения Т.к. используют
соед., содержащие фрагмент тиоиндоксила. Окислит. конденсация двух одинаковых
молекул указанных соед. приводит к симметричным Т.к. (окислители-О2
воздуха, S, Na2Sx, Вr2, ClSO3H).
Конденсация различно замещенных соед. приводит к несимметричным Т.к., р-ция
протекает по схеме:


Т. к. нафталинового ряда
м. б. получены действием Na2Sx на нафтилметилкетоны
без выделения промежут. продукта, напр.:

В бензольном ряду такую
р-цию осуществить не удается; исключение составляют о-галогенсодержащие
ацетофеноны:

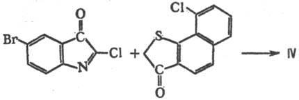
Т.к. типа IV и V получают
исходя из изатина. Так, для получения тиоиндиго черного изатин бромируют, вводят
в р-цию с РСl5 и образующийся 5-бром-3-оксо-2-хлориндол конденсируют
с соответствующим производным бензо[b]-тиофена:

Конденсация изатина с бензо[b]тиофеном
по карбонильной группе приводит к V.
Т. к. применяют для печати
по хлопку, льну, вискозе, для кубового крашения шерсти, хлопка, меха, а также
как пигменты в полиграфии. По стойкости к действию окислителей, сильных щелочей
и др. Т. к. превосходят индигоидные красители.
Лит.: Чекалин М.А.,
Химия и технология органических красителей, М., 1956; Степанов Б. И., Введение
в химию и технологию органических красителей, 3 изд., М., 1984. И. А. Троянов.
|