ТРАНСКЕТОЛАЗА
(седогептулозо-7-фосфат:
D-глицераль-дегид-3-фосфат - гликольальдегидтрансфераза), фермент класса трансфераз,
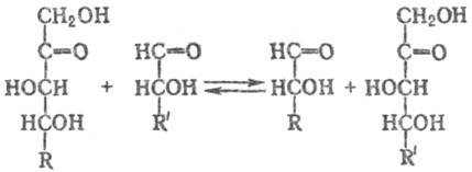
катализирующий обратимую р-цию переноса двухуглеродного фрагмента. (остатка
гликоль-адельдегида) с кетоз на альдозы:

Т. специфична по отношению
к кетозам с транс-
положе-нием гидроксильных групп при атомах С-3
и С-4. Обнаружена
во всех исследованных тканях животных и растений, а также у микроорганизмов.
Фермент играет важную роль
в функционировании пентозофосфатного цикла
. Коферменты Т.- тиаминдифос-фат
(см. Тиамин
) и двухвалентные катионы. Взаимод. субстрата с тиаминдифосфатом
осуществляется по атому С-2 тиазольногс кольца.
Наиб. изучена Т. пекарских
дрожжей. Фермент представлен двумя изоформами с мол. массами ок. 158-159 тыс.
(первичная и пространственная структуры Т. неизвестны). При комнатной т-ре и
физиол. значениях рН апофермент (фермент без кофермента) обратимо диссоциирует
на две субъединицы с одинаковыми мол. массами. Фермент имеет 2 активных центра
с одинаковой каталитич. активностью, к-рая проявляется оптимально при рН 7,6.
В состав активного центра входят остатки триптофана, гистидина, аргинина и карбоксильная
группа.
Ингибируют фермент ионы
и
. Реагенты
на сульфгидрильную
группу влияния на активность не оказывают.
Определение в крови соотношения
апо- и холотранскето-лазы (последняя содержит кофермент) используют для характеристики
обеспеченности организма тиамином.
Лит.: Кочетов Г.
А., Тиаминовые ферменты, М., 1978; Kochetov G.A., в кн.: Methods in enzymology,
v. 90, N.Y.-L., 1982, p. 209-23. Г. А. Кочетов.
|