ВЫСОКОЭЛАСТИЧЕСКОЕ СОСТОЯНИЕ
, состояние, в к-ром полимеры обладают
способностью к большим обратимым деформациям (до неск. десятков, сотен
и более процентов). В В. с. могут переходить все гибкоцепные линейные полимеры
с достаточно большой молекулярной массой и пространственно структурированные
(сетчатые) полимеры при нагр. их выше т-ры стеклования.
Верх. температурная граница определяется т-рой разложения для сетчатых
полимеров и т-рой текучести для линейных. Полимеры, находящиеся в В. с.
в широком интервале т-р, соответствующем условиям их эксплуатации, наз.
эластомерами. Типичные представители эластомеров - натуральный и синтетич.
каучуки, а также резины на их основе.
В отличие от твердых кристаллич. тел деформация полимеров в В. с. связана
не с изменением межатомных или межмол. расстояний, а с частичным развертыванием
хаотически свернутых цепных молекул, что и обусловливает возможность больших
деформаций. При этом возвращающая сила f вызывается не силами притяжения
 между молекулами деформируемого тела, а тепловым движением, к-рое по своей
интенсивности такое же, как тепловое движение молекул в жидкостях. Т. обр.
упругость полимеров в В. с. имеет энтропийную природу подобно объемной
упругости газов. Поэтому модуль упругости полимеров в В. с. пропорционален
абс. т-ре Т и имеет низкие значения (0,1-10 МПа), тогда как модуль
 всестороннего сжатия, определяемый силами межмол. взаимодействия, типичен
для кон-денсиров. сред (103 МПа). Вследствие этого деформация
эластомеров практически не сопровождается изменением объема, и связанное
с этим изменение внутр. энергии U ничтожно. Наблюдаемые на опыте
 изменения U при деформации эластомеров связаны с изменением набора
 энергетически неравноценных конформац. изомеров (см. Конформационнып анализ)при развертывании цепей. В зависимости от разности энергетич.
 уровней транс-
 и гош-конформеров изменение внутр. энергии при деформации и соответствующая ему составляющая возвращающей силы fe =
 (dV/dl)V,T ("энергетич. сила") м. б. как положительными,
 так и отрицательными (l-длина образца, V-его объем). Ниже
  приведены значения fe/f для нек-рых полимеров:
 и соответствующая ему составляющая возвращающей силы fe =
 (dV/dl)V,T ("энергетич. сила") м. б. как положительными,
 так и отрицательными (l-длина образца, V-его объем). Ниже
  приведены значения fe/f для нек-рых полимеров:
 
 
В В. с. напряжение и деформация при
циклич. нагружении сдвинуты по фазе, и наблюдается сильная зависимость
деформации, развивающейся в эластомере, от длительности приложения нагрузки
или напряжения от времени выдержки образца в деформиров. состоянии. Особенно
резко эти зависимости выражены при т-рах, близких к т-рам стеклования и
текучести. В сетчатых этастомерах через достаточно длит. время устанавливается
упругое равновесие, т. е. / и
при
циклич. нагружении сдвинуты по фазе, и наблюдается сильная зависимость
деформации, развивающейся в эластомере, от длительности приложения нагрузки
или напряжения от времени выдержки образца в деформиров. состоянии. Особенно
резко эти зависимости выражены при т-рах, близких к т-рам стеклования и
текучести. В сетчатых этастомерах через достаточно длит. время устанавливается
упругое равновесие, т. е. / и перестают изменяться со временем.
перестают изменяться со временем.
В 40-х гг. В. Куном, П. Флори и др. была развита теория (именуемая теперь
классической) равновесных упругих св-в сетчатых эластомеров, основывающаяся
на модели сетки из бестелесных цепей, способных свободно проходить друг
сквозь друга ("теневые", или "фантомные", цепи). Согласно этой теории,
/ при растяжении образца в раз равно:
раз равно:
 
где A-площадь поперечного сечения образца, v-число цепей (отрезков
молекулы между ближайшими поперечными сшивками) в единице объема, k-постоянная
Больцмана, -средний квадрат расстояний между концами цепей в недеформиров. сетке,
-средний квадрат расстояний между концами цепей в недеформиров. сетке, -средний квадрат расстояний между концами тех же цепей в своб. состоянии.
Ур-ние (1) оправдывается на опыте только для сильно набухших резин. В отсутствие
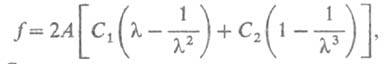
р-рителя f при одноосном растяжении хорошо описывается след. ф-лой:
-средний квадрат расстояний между концами тех же цепей в своб. состоянии.
Ур-ние (1) оправдывается на опыте только для сильно набухших резин. В отсутствие
р-рителя f при одноосном растяжении хорошо описывается след. ф-лой:
 
 
где С1 и С2-эмпирич. постоянные.
 
Для описания др. типов деформации эта ф-ла непригодна. Зависимости С1
 и С2 от разл. факторов являлись предметом мн. исследований.
 Так, было показано, что C1 м. б. отождествлено с коэф.
 упругости в ур-нии (1). Тогда, полагая , получаем: C1 = vkT/2. Эта ф-ла - одно из осн. соотношений
 для расчета v из эксперим. данных. Для эластомеров с редкой сеткой величина
С2/С, больше единицы, для густых сеток - меньше единицы. Обе
константы возрастают с т-рой приблизительно пропорционально Т. При
 равных С1 сетки из цепей с более массивными боковыми
 привесками имеют меньшие С2.
, получаем: C1 = vkT/2. Эта ф-ла - одно из осн. соотношений
 для расчета v из эксперим. данных. Для эластомеров с редкой сеткой величина
С2/С, больше единицы, для густых сеток - меньше единицы. Обе
константы возрастают с т-рой приблизительно пропорционально Т. При
 равных С1 сетки из цепей с более массивными боковыми
 привесками имеют меньшие С2.
Предпринимались попытки объяснить наблюдаемые отклонения от классич.
теории на основе разл. физ. предпосылок. Но все они, как и разл. феноменологич.
теории, не получили широкого распространения. Отклонения от классич. теории,
как считает большинство исследователей, связаны с тем, что в ней не учитываются
ограничения числа возможных конформаций цепей, возникающие вследствие их
взаимной непроницаемости. Многочисл. теории, построенные на этой предпосылке,
удовлетворительно описывают деформац. зависимости разл. типов.
Лит.: Волькснштейн М.В., Конфигурационная статистика полимерных
 цепей, М.-Л., 1959; Бирштейн Т.М., Птицын О.Б., Конформаций макромолекул,
М., 1964; Treloar L.R.Y., The physics of rubber elasticity, 3 ed., Oxf.,
1975. Л. С. Лрисе.