БАРТОНА РЕАКЦИЯ
(Бартона перегруппировка), фотохим. перегруппировка
алкилнитритов в нитрозоспирты с послед. превращением последних в оксимы
или димеры:
 
где R = Н, Alk, Аг. Процесс обычно осуществляют при охлаждении в инертном
р-рителе и >
330 нм. В р-цию вступают соед., алкильная цепь к-рых содержит более трех
атомов С и атом Н у
>
330 нм. В р-цию вступают соед., алкильная цепь к-рых содержит более трех
атомов С и атом Н у углеродного
атома. Если у последнего отсутствует атом Н, то наблюдается диспропорционирование
с образованием спиртов и карбонильных соединений.
углеродного
атома. Если у последнего отсутствует атом Н, то наблюдается диспропорционирование
с образованием спиртов и карбонильных соединений.
Б. р. протекает по свободнорадикальному механизму и включает стадию
внутримолекулярной миграции атома Н в алкоксильном радикале (ф-ла I) через
переходное состояние (II); нитрозосоединение III изомеризуется в оксим:
 
Р-ция протекает гладко только в тех случаях, когда возможно образование
6-членного циклич. переходного состояния. Если у углеродного
атома в исходном нитрите нет второго атома Н, то образуется также димер
нитрозосоединения.
углеродного
атома в исходном нитрите нет второго атома Н, то образуется также димер
нитрозосоединения.
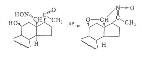
Б. р. широко используется для введения функц. групп в неактивные участки
молекул стероидов, в частности в метальные группы в положениях 18 и 19,
напр.:
 
Продукты Б. р. применяют как промежут. соед. в синтезе полициклич. нитронов,
напр.:
 
Р-ция открыта Д. Бартоном в 1960.
Лит: Введение в фотохимию органических соединений, под ред. Г.О.
 Беккера, пер. с нем., Л., 1976, с. 200-204; Общая органическая химия, пер.
с англ., т. 3, М., 1982, с. 379, 443-44, 447, 484, 615. К. В. Вацуро.