1,4-БЕНЗОДИАЗЕПИН
. В своб. виде
не выделен. Из производных наиб. изучены 1,2-дигидро-1,4-бензодиазепин-2(3Н)-оны
с ароматич. заместителем в положении 5 (ф-ла I), к-рые не раств. в воде, хорошо
раств. в апротонных р-рителях. Обладают слабыми основными св-вами. Нитруются
в положение 7, а если оно занято - в мета-
положение фенильного заместителя.
 Дальнейшее нитрование идет в положение 9. Галогенирование под действием С12
(в присут. FeCl3), NaOCl или N-бромсукцинимида идет соотв. в положения
7, 1 или 3. При действии NH2C1 происходит аминирование в положение
1. Алкилирование и алкоксилирование идут в положения 1 и 4, реже - в 3. Гидролиз
часто сопровождается перегруппировками, напр.: 
 
 
Надкислоты и Н2О2 окисляют атом N в положении
4. Атом кислорода карбонильной группы легко замещается на серу, что используется
для синтеза производных с аннелированными гетероциклами, напр.:
 
1,2-Дигидро-1,4-бензодиазепин-2(3Н)-оны м. б. получены окислением аминометилиндолов:
 
Эти соединения, а также 2-алкиламино-3Н-1,4-бензодиазепины получают
из N-оксидов 2-хлорметилхиназолинов:
 
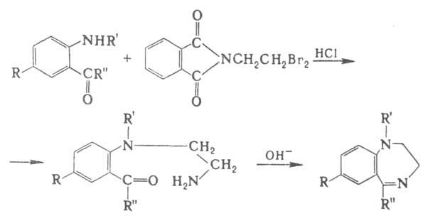
Синтез 1,2-дигидро-3Н-1,4-бензодиазепинов основан на превращ. ароматич.
аминокетонов:
 
Производные 1,4-Б., напр. диазепам, оксазепам, хлордиазепоксид,- транквилизаторы.
Лит.: Богатский А.В., Андронати С.А., Головенко Н.Я., Транквилизаторы.
 1,4-Бенздиазепины и родственные структуры, К., 1980. В. Р. Скварченко.