БРЮСТЕРА МЕТОД
, применяется для расчета знака и величины вращения
плоскости поляризации света орг. соединениями. В основе метода лежит представление
о молекуле как о спиральном проводнике, по к-рому перемещаются электроны;
эта модель учитывает длины связей и поляризуемость групп. Оптич. активность
представляют как сумму вкладов "атомной"
(
-длина волны
света) и "конформационнои"
асимметрии.
обусловлена
наличием в молекуле асимметрии, атома, связанного с группами разл. поляризуемости.
Согласно эмпирич. правилу, асимметрич. атом с конфигурацией, показанной
ф-лой I, обусловливает вращение плоскости поляризации вправо, если поляризуемость
заместителей падает в ряду А > В > С > D. Правило справедливо для соединений,
в которых асимметрич. атом не является частью кольца или к.-л. закрепленной
структуры.
Вклад
возникает, когда асимметрич. атом является частью цепи, рассматриваемой
как участок спирали. Элементарный фрагмент молекулы (ф-ла II), обладающий
конформационной асимметрией, - скошенное конформационное звено из связей
А—С1, С1—С2, С2—В с
длинами соотв. d1, d2 и d3;
А и В-концевые заместители звена. С, и С2- асимметрич. атомы.
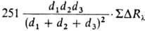
При этом:

,
где
- сумма рефракций связей и групп. Оптич. вращение одного конформера равно
алгебраич. сумме вкладов всех шести скошенных звеньев АВ, BE, ED, DF, FK,
KA, а вращение в-ва в целом равно сумме вкладов всех конформеров:
, где a1, а2 и а3 - доли в конформа-ционном
равновесии конформеров 1, 2 и 3. Для учета влияния среды в правую часть
ур-ния вводят множитель f(n) = (n2 + 2)2/9n, где
n-коэф. преломления среды.
Используя Б. м., можно рассчитать знак и величину оптич. вращения в-ва,
если известны его конфигурация и конформационный состав, а на основе измеренного
вращения и рассчитанных величин вращения отдельных конформеров определить
конформационный состав в-ва. Метод предложен Дж. Брюстером в 1959. в.
м. Демьянович.