Электронные Толковые Словари
Реклама

Экологический энциклопедический словарь
"ФОРМУЛА ФУЛЬТОНА"

/ Главная / Экологический энциклопедический словарь / буква Ф / ФОРМУЛА ФУЛЬТОНА
Экологический энциклопедический словарь

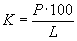
ФОРМУЛА ФУЛЬТОНА , формула, применяемая для определения упитанности рыб:

где P— масса, L — длина рыб.





2006-2013. Электронные Толковые Cловари. oasis[dog]plib.ru