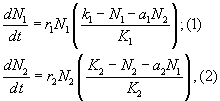
УРАВНЕНИЯ МЕЖВИДОВОЙ КОНКУРЕНЦИИ
,
предложенные А. Лоткой (1925) и В. Вольтеррой (1926,
1931) уравнения для математич. анализа межвидовой конкуренции:

где N1 и N2 — численность двух конкурирующих между собой популяций в единицу времени (t = 1); r1,
r2 — специфич. потенциальные скорости конкурирующих популяций,
обусловленные свойствами организма в нелимитирующих условиях среды; K1 и K2 — допустимые численности конкурирующих видов; а1 и a2 — коэффициенты конкуренции обоих видов.
|